Относительные величины сравнения – Относительная величина (относительный показатель) сравнения, координации, интенсивности
Относительные величины.
Относительными статистическими величинами называют величины, выражающие количественные соотношения между социально-экономическими явлениями или их признаками.
Они получаются в результате деления одной величины на другую. Чаще всего относительные величины являются отношениями двух абсолютных величин.
Величина, с которой производится сравнение (знаменатель дроби), обычно называется основанием относительной величины, базой сравнения или базисной величиной, а та, которая сравнивается, называется текущей, сравниваемой или отчетной величиной.
Относительная величина показывает, во сколько раз сравниваемая величина больше базисной или какую долю первая составляет от второй.
С помощью относительных величин выражаются многие факты общественной жизни: процент выполнения плана, темпы роста и прироста и др.
По содержанию выражаемых количественных соотношений выделяют следующие типы относительных величин:
— относительная величина динамики;
— относительная величина планового задания;
— относительная величина выполнения задания;
— относительная величина структуры;
— относительная величина координации;
— относительная величина сравнения;
— относительная величина интенсивности.
Рассмотрим порядок определения относительных величин.
Относительные величины динамики. Характеризуют изменение изучаемого явления во времени и выявляют направление развития объекта. Получают в результате деления фактического уровня отчетного периода на фактический уровень базового периода:
(4.1)
Пример. Машиностроительный завод в 2000 году выпустил 630 станков, а в 1999 году — 500 станков. Необходимо определить фактическую динамику выпуска станков.
Таким образом, выпуск станков за 1 год вырос в 1,26 раза (коэффициент роста, индекс роста) или в процентном выражении – это 126,0% (темп роста). Иначе говоря, за один год выпуск станков увеличился на 26,0% (темп прироста).
Относительная величина планового задания. Ее получают в результате деления планового задания отчетного периода на фактический уровень базисного периода.
(4.2)
Пример. Машиностроительный завод в 2006 году выпустил 500 станков, а в 2007 году планировал выпустить 693 станка. Определить относительную величину планового задания выпуска станков.
Так, по плану на 2007 год предполагалось увеличить производство станков на 38,6% (плановый темп прироста), т.е. в 1,386 раза (плановый коэффициент роста), или выйти на 138,6% по сравнению с 2006 годом (плановый темп роста).
Относительная величина выполнения задания. Получают в результате деления фактически достигнутого уровня в отчетном периоде на плановое задание этого же периода:
(4.3)
Пример. Машиностроительный завод планировал в 2006 году выпустить 693 станка, а фактически выпустил 630 штук. Определим величину выполнения плана.
Следовательно, плановое задание было недовыполнено на 9,1%.
Относительная величина структуры. Характеризует состав изучаемой совокупности (долю, удельные веса элементов). Вычисляется как отношение абсолютной величины части совокупности к абсолютной величине всей совокупности:
(4.4)
Пример. В студенческой группе 27 человек, из них 9 — мужчины. Определим относительную величину структуры группы.
В группе 33,3% – мужчины и 66,7% – женщины.
Относительная величина координации. Характеризуют отношение частей данной совокупности к одной из них, принятой за базу сравнения и показывают во сколько раз одна часть совокупности больше другой, либо сколько единиц одной части приходится на 1, 10, 100, 1000… единиц другой части.
(4.5)
Пример. В 2001 году топливно-энергетические ресурсы (в у.т.) распределялись следующим образом: преобразование в другие виды энергии – 979,8 млн. у.т.; производственные и прочие нужды – 989,0 млн. у.т.; экспорт – 418,3 млн. у.т.; остаток на конец года – 242,1 млн. у.т. приняв за базу сравнения экспортные поставки, определим, сколько приходится на производство:
То есть на производство и прочие нужды затрачивается в 2,363 раза больше ресурсов, чем их поставляют на экспорт.
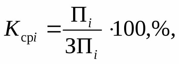
Относительная величина сравнения (территориально-пространственного). Характеризует сравнительные размеры одноименных показателей, но относящихся различным объектам или территориям и имеющих одинаковую временную определенность. Интерпретация этих величин зависит от базы сравнения.
(4.6)
Пример. Население г. Москвы в 2001 году составило 8,967 млн. чел., а население г. С.-Петербурга в этом же году составило 5,020 млн. чел.
То есть, население Москвы больше населения С.-Петербурга в 1,79 раза.
Относительная величина интенсивности. Показывает, сколько единиц одной совокупности приходится на единицу другой совокупности и характеризует степень распространения явления в определенной среде:
(4.7)
Пример. Определить производительность труда 100 рабочих, если общий объем готовой продукции 1200 изделий.
На каждого рабочего приходится 12 деталей, т.е. производительность труда составляет 12 деталей на 1 рабочего.
www.ekonomstat.ru
Определить относительные величины сравнения:
средней номинальной заработной платы в субъектах РФ. В качестве базы сравнения принять среднюю заработную плату в РФ и в г. СПб.
Решение
1. При определении относительных величин сравнения размера назначенных пенсий и номинальной заработной платы сравниваются одноименные показатели (пенсии и заработная плата являются частью доходов населения) по различным совокупностям (пенсионеры и работающие). Расчет производится по формуле

где
средний размер назначенных пенсий и
средняя номинальная заработной платы
в i–м
субъекте РФ.
Например, в г. СПб относительная величина сравнения пенсий и заработной платы в июне 2004 г составила
Результаты расчетов по всем субъектам РФ и России приведены в графе 3 табл.1.11. Из таблицы видно, что в Северо-Западном Федеральном округе по четырем субъектам РФ (Республика Коми, Ненецкий автономный округ, Мурманская область и г. СПб) относительная величина сравнения пенсий и заработной платы ниже, чем в целом по России.
2. При сравнении средней номинальной заработной платы по субъектам РФ (территории) в качестве базы сравнения выбрана средняя заработная плата в России и в г. СПб. Например, в Республике Карелия средняя номинальная заработная плата по сравнению
Результаты расчетов для всех субъектов РФ приведены в табл. 1.12. Из таблицы видно, что в Калининградской, Ленинградской, Новгородской и Псковской областях средняя заработная плата ниже, чем в России (особенно в Псковской области ниже на 31,1%). По трем субъектам РФ (Республика Коми, Ненецкий автономный округ и Мурманская область) средняя заработная плата превышает уровень заработной платы в г. СПб.
Таблица 1.12
Номинальная заработная плата в июне 2004 года в Северо-Западном Федеральном округе
Территория | Средняя начисленная заработная плата в расчете на одного работника, р. | Отношение средней заработной платы в субъекте РФ к средней номинальной заработной плате, % | |
в России | в г. СПб | ||
Россия | 7003,1 | 100,0 | 83,1 |
Республика Карелия | 7204,9 | 102,9 | 85,5 |
Республика Коми | 9695,3 | 138,4 | 115,0 |
Архангельская область | 7998,6 | 114,2 | 94,9 |
Ненецкий автономный округ | 18130,9 | 258,9 | 215,1 |
Вологодская область | 7038,7 | 100,5 | 83,5 |
Калининградская область | 6563,3 | 93,7 | 77,9 |
Ленинградская область | 6861,7 | 98,0 | 81,4 |
Мурманская область | 10637,9 | 151,9 | 126,2 |
Новгородская область | 5813,2 | 83,0 | 69,0 |
Псковская область | 4828,3 | 68,9 | 57,3 |
г. Санкт-Петербург | 8429,0 | 120,4 | 100,0 |
Относительная величина сравнения со стандартом
Задача 1.10
Имеются данные [23] о величине прожиточного минимума за II квартал 2004 г. и номинальных доходах на душу населения в июне 2004 г. в Северо-Западном Федеральном округе (графы 1, 2 табл. 1.13).
Определить отношение номинальных доходов к величине прожиточного минимума (относительную величину сравнения со стандартом).
Решение
Относительная величина сравнения со стандартом рассчитывается по формуле

где
нормативное значение показателя.
Например по Республике Карелия отношение средней номинальной заработной платы к величине прожиточного минимума
где прожиточный минимум и номинальная заработная плата в Республике Карелия.
Результаты расчетов относительных величин сравнения со стандартом приведены в табл. 1.13.
Таблица 1.13
studfiles.net
6.3. Относительные величины, их значение и основные виды
Относительный показатель представляет собой результат сопоставления абсолютных показателей между собой, поэтому приводит к необходимости различного рода сопоставления. Показатели в форме относительных статистических величин являются производными или вторичными. При расчете относительного показателя абсолютный показатель, находящийся в числе получаемого отношения, называется текущим или сравниваемым. Показатель же, с которым производится сравнение и который находится в знаменателе, называется основанием или базой сравнения.
Относительные показатели могут выражаться в:
коэффициентах – если база сравнения принимается за 1;
процентах (%) – если база сравнения принимается за 100;
промилле (%) – если база сравнения принимается за 1000;
продецимилле (%) – если база сравнения принимается за 10000.
Сравнение, сопоставление статистических данных характеризуют анализ.
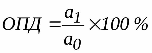
1. Относительная величина динамики (ОПД) характеризует изменение явления во времени, показывает во сколько раз увеличился уровень показателя по сравнению с каким-либо предшествующим периодом, выявляет направление развития, измеряет интенсивность развития. Расчет ОВ данного вида выполняется в виде темпов роста и др. показателей динамики
,
где а1 – фактический уровень показателя в отчетном периоде;
а0 – фактический уровень показателя в базисном периоде.
2. Относительная величина планового задания (ОВПЗ) предусматривает определение во сколько раз или на сколько процентов должна увеличиться (уменьшиться) величина показателя по плану в сравнении с его уровнем в предшествующем периоде
,
где аплан – планируемый уровень показателя за отчетный период.
3. Относительная величина выполнения договорных обязательств (ОВВДО) – показатель, характеризующий уровень выполнения предприятием своих обязательств, предусмотренных в договорах
,
где адог. – уровень показателя, запланированный на этот же период и предусмотренный договором.
Все эти показатели взаимосвязаны между собой
ОПД = ОВВДО ОВПЗ,
т.е.
.
В ряде случаев ОВВДО может выполняться по методу нарастающего итога.
Относительная величина структуры (ОВС) характеризует состав изучаемых совокупностей, т.е. долю отдельных частей в общем объеме совокупности, их рассчитывают как отношение числа единиц (или объема признака) в отдельных частях совокупности к общей численности единиц (или объему признака) по всей совокупности. Относительные величины структуры рассчитываются по сгруппированным данным.
,
где аi – величина изучаемой части совокупности;
аi – величина всей совокупности.
Относительные величины координации (ОВК) характеризуют соотношение между частями одного целого. Это одна из разновидностей показателей сравнения. Она показывает во сколько раз сравниваемая часть совокупности больше или меньше части, которая принимается за основание или базу сравнения, т.е. по существу они характеризуют структуру изучаемой совокупности.
,
где аi – сравниваемая часть совокупности;
bi – часть, принимаемая за основание или базу сравнения.
Относительная величина сравнения (ОВСр) характеризует сопоставление одноименных показателей, относящихся к одному и тому же периоду (или моменту) времени, но к разным объектам или территориям. Применяется для сравнительной оценки результатов деятельности отдельных предприятий отрасли, уровня развития стран и регионов.
.
Относительные величины интенсивности (ОВИ) показывают насколько широко распространено изучаемое явление в той или иной среде. Они характеризуют соотношение разноименных, но связанных между собой абсолютных величин. В отличие от других видов относительных величин относительные величины интенсивности всегда выражаются именованными величинами. При их расчете абсолютная величина изучаемого деления делится на абсолютную величину, характеризующую объем среды, где происходит развитие или распространение явления. ОВИ показывает, сколько единиц одной совокупности приходится на единицу другой совокупности.
,
где аА – показатель, характеризующий явление А;
ВА – показатель, характеризующий среду распространения явления А.
Разновидностью ОПИ являются относительные показатели уровня экономического развития, характеризующие производство продукции в расчете на душу населения и играющие важную роль в оценке развития экономики государства. Т.к. объемные показатели производства продукции по своей природе являются интервальными, а показатель численности населения – моментным, то в расчетах используют среднюю за период численность населения.
studfiles.net
3. Относительные величины, их значение и основные виды. Теория статистики: конспект лекций
3. Относительные величины, их значение и основные виды
Одних абсолютных статистических величин недостаточно для характеристики изучаемых объектов. Чтобы отразить состояние рост, развитие явлений, соотношение их во времени и пространстве в статистике широко пользуются относительными величинами.
Показатели, полученные в результате сравнения абсолютных величин, в статистике называют относительными величинами.
Относительные величины дают представление, во сколько раз одна абсолютная величина больше другой или какую часть одна абсолютная величина составляет от другой, или сколько единиц одной совокупности приходится на единицу другой.
Относительные величины – это показатель, который представляет собой частное от деления двух статистических величин и характеризует количественное соотношение между ними.
Для расчета относительных величин в числитель ставится сравниваемый показатель, который будет отражать изучаемое явление а в знаменателе отражается показатель, с которым и будет производиться это сравнение, он является основанием или базой для сравнения. База сравнения – это своеобразный измеритель. Основание имеет результат отношения в зависимости от количественного (числового) значения, который выражается в: коэффициенте, процентах, промилле или децимилле.
Если база сравнения принимается за единицу, то относительная величина является коэффициентом и показывает, во сколько раз изучаемая величина больше основания. Если базу сравнения принять за 100%, то результат вычисления относительной величины будет выражен в процентах.
Если базу сравнения принимают за 1000, то результат сравнения выражается в промилле (%0). Относительные величины могут быть выражены и децимилле, если основание отношения равно 10 000.
Форма выражения зависит от: количественного соотношения сравниваемых величин; смыслового содержания полученного результата сравнения. Если сравниваемый показатель больше основания, тогда относительная величина выражается в коэффициенте или в проценте, но если сравниваемый показатель меньше основания, тогда относительную величину лучше выразить только в проценте.
Если показатели, которые сравниваются, являются сопоставимыми, то расчет относительных величин может быть правильным.
В зависимости от цели статистического исследования относительные величины подразделяются на следующие виды: выполнение договорных обязательств; относительные величины, характеризующие структуру совокупности; относительные величины динамики; сравнения; координации; относительные величины интенсивности.
Относительная величина выполнения договорных обязательств – это показатель, характеризующий уровень выполнения предприятием своих обязательств, предусмотренных в договорах.
Расчет показателя производится путем соотношения объема фактически выполненных обязательств и объема обязательств, предусмотренных в договоре. Выражается он в форме коэффициентов или в процентах.
Относительные показатели планового задания (ОППЗ) используются для перспективного планирования деятельности субъекта финансово–хозяйственной сферы и т.д.
ОППЗ рассчитывается следующей формулой:
Относительные величины структуры – это показатели, характеризующие долю от состава изучаемых совокупностей. Относительная величина структуры определяется отношением абсолютной величины отдельного элемента статистической совокупности к абсолютной величине всей совокупности, т. е. как отношение части к общему (целому), и характеризует удельный вес части в целом, в форме процента.
В анализе коммерческой деятельности торговли и сферы услуг относительные величины дают возможность изучить весь состав товарооборота по его ассортименту, состав работников фирмы – по определенным признакам (стажу работы, полу, возрасту), состав расходов предприятия и другие факторы, влияющие на коммерческую деятельность предприятия.
Относительные показатели структуры (ОПС) = уровень части совокупности / суммарный уровень совокупности в целом
Относительные величины динамики характеризуют изменение изучаемого явления во времени, выявляют направление развития, измеряют интенсивность развития. Рассчитывается относительная величина динамики как отношение уровня признака в определенный период или момент времени к уровню того же признака в предшествующий период или момент времени, т. е характеризует изменение уровня определенного явления во времени. Относительные величины динамики называются темпами роста:
Относительные величины сравнения характеризуют количественное соотношение одноименных показателей, относящихся к различным объектам статистического наблюдения.
Для сопоставления уровня цен на один и тот же товар, реализуемый через государственные магазины и на рынке, используются относительные величины сравнения. За базу сравнения принимается государственная цена. Относительные величины координации – это разновидность показателей сравнения. Они применяются для характеристики соотношения между отдельными частями статистической совокупности. Относительные величины координации характеризуют структуру изучаемой совокупности. Относительные величины интенсивности демонстрируют, насколько широко распространено исследуемое явление в определенной среде характеризуются соотношением разноименных и взаимосвязанных между собой абсолютных величин.
Именованные величины выражаются в относительных величинах интенсивности:
Относительная величина интенсивности = абсолютная величина изучаемого явления / абсолютная величина, характеризующая объем среды, в которой распространяется явление
Относительная величина демонстрирует, сколько единиц одной статистической совокупности приходится на единицу другой статистической совокупности.
Условием правильного использования обобщающих показателей является изучение абсолютных и относительных величин в их единстве. Комплексное использование абсолютных и относительных величин дает всестороннюю характеристику изучаемого явления.
Относительные показатели координации (ОПК) – это соотношение одной части совокупности к другой части этой же совокупности:
ОПК = уровень, характеризующий i – ую часть совокупности / уровень, характеризующий часть совокупности, выбранную в качестве базы сравнения
Поделитесь на страничкеСледующая глава >
econ.wikireading.ru
Относительные величины, их значение и основные виды
Поиск ЛекцийОдних абсолютных статистических величин недостаточно для характеристики изучаемых объектов. Чтобы отразить состояние рост, развитие явлений, соотношение их во времени и пространстве в статистике широко пользуются относительными величинами.
Показатели, полученные в результате сравнения абсолютных величин, в статистике называют относительными величинами.
Относительные величины дают представление, во сколько раз одна абсолютная величина больше другой или какую часть одна абсолютная величина составляет от другой, или сколько единиц одной совокупности приходится на единицу другой.
Относительные величины – это показатель, который представляет собой частное от деления двух статистических величин и характеризует количественное соотношение между ними.
Для расчета относительных величин в числитель ставится сравниваемый показатель, который будет отражать изучаемое явление, а в знаменателе отражается показатель, с которым и будет производиться это сравнение, он является основанием или базой для сравнения. База сравнения – это своеобразный измеритель.
Относительные величины могут быть именованными: простыми (кг, шт.) и комбинированными (т/км, кг/шт.), а также отвлеченными.
В сравнении могут участвовать как разноименные, так и одноименные величины.
1. Результат от сравнения разноименных величин будет величиной поименованной.Например, км2/чел. – обеспеченность территории; чел./км2 – плотность населения.
2. Результат от сравнения одноименных величин будет безразличной величиной.
Результат отношения может представлять собой:
Коэффициент
Если сравниваемая величина больше базы сравнения в 2 раза и более, то обычно выбирают форму коэффициента. База сравнения принимается за единицу, относительная величина является коэффициентом и показывает, во сколько раз изучаемая величина больше основания (базы). Так, если сопоставить численность студентов четвертого (21 чел.) и второго (49 чел.) курсов специальности «Учет и аудит», то получим относительную величину в форме коэффициента (ОВ = 49:21 = 2,33), которая показывает, что студентов второго курса в 2,33 раза больше.
Проценты
Если относительная величина близка к единице, как правило, ее выражают в процентах. Базу сравнения принимают за 100%, и результат вычисления относительной величины будет выражен в процентах.
ОВ = ½ *100 = 50 %
Промилле
Если же относительная величина очень мала, то ее выражают в промилях. Базу сравнения принимают за 1000, и результат сравнения выражается в промилле (0/00). Например, 0,0025 может быть выражено как 0,25 % или 2,5 0/00.
4. Децимилле.
Относительные величины могут быть выражены и децимилле, если основание отношения равно 10 000 (0/000).
Форма выражения зависит от: количественного соотношения сравниваемых величин; смыслового содержания полученного результата сравнения. Если сравниваемый показатель больше основания, тогда относительная величина выражается в коэффициенте или в проценте, но если сравниваемый показатель меньше основания, тогда относительную величину лучше выразить только в проценте.
Если показатели, которые сравниваются, являются сопоставимыми, то расчет относительных величин может быть правильным.
В зависимости от цели статистического исследования относительные величины подразделяются на следующие виды:
1. Относительные величины сравнения
2. Относительные величины интенсивности
3. Относительные величины координации
4. Относительные величины структуры
5. Относительные величины динамики
6. Относительные величинывыполнение договорных обязательств или плана
1. Относительные величины сравнения(ОВСр) характеризуют количественное соотношение двух одноименных показателей, относящихся к различным объектам статистического наблюдения.
Например, на 1.01 в городе Х проживало 2630 тыс. чел., в городе У – 1555 тыс. чел. Тогда показывает, что в городе Х численность населения на 69% больше, чем в городе У, а свидетельствует, что в городе У населения на 41% меньше чем в городе Х. (Одноименные абсолютные величины – городское население, объекты – разные города).
2. Относительные величины интенсивности показывают степень распространения или уровень развития того или иного явления в определенной среде. Они вычисляются путем сравнения разноименных величин.
Относительная величина интенсивности (ОВИ) представляет собой отношение величины исследуемого явления к размеру среды, в которой это явление возникло:
Примером может служитьплотность населения, определяющаяся делением численности населения на площадь территории, где оно проживает, или производительность труда. Эти показатели обычно определяются в расчете на 100, 1000 и т.д. единиц изучаемой совокупности.
ОПИ рассчитывается в тех случаях, когда абсолютная величина оказывается недостаточной для формирования обоснованных видов в масштабах явления, его размерах, насыщенности, плотности распространения. Например, определение уровня обеспеченности населения магазинами, поликлиниками и др.
3. Относительные величины координации – это разновидность показателей сравнения. Они применяются для характеристики соотношения между отдельными частями статистической совокупности. Относительные величины координации характеризуют структуру изучаемой совокупности.
Относительные показатели координации (ОВК) – это соотношение каждой из частей, оставляющих некоторое целое, к одной из этих частей, взятой за базу.
А, В, С, D – части целого, D – база
Рассчитываются делением одной части на другую.
Пример. Численность городского населения области на 1.01 составила 34,8 млн. чел., сельского – 16,5 млн. чел.
При изучении городского населения рассчитывают . Полученное значение показывает, что городского населения больше, чем сельского в 2 раза или на 110%.
Если за базу сравнения принять число сельского населения, то относительный показатель координации равен . Это означает, что в области сельского населения было на 53% меньше городского. (Целое: население области, части: городское и сельское население.)
4. Относительные величины структуры– это показатели, характеризующие долю отдельных частей во всей совокупностей.
Относительная величина структуры определяется отношением абсолютной величины отдельного элемента статистической совокупности к абсолютной величине всей совокупности, т. е. как отношение части к общему (целому), и характеризует удельный вес части в целом, в форме процента.
Относительные величины структуры называют долями, сумма их составляет 1 или 100%.
А, В, С, D – части целого
На использовании долей базируется сравнительный анализ состава различных по объему совокупностей, оценка структурных сдвигов во времени. В анализе коммерческой деятельности торговли и сферы услуг относительные величины дают возможность изучить весь состав товарооборота по его ассортименту, состав работников фирмы – по определенным признакам (стажу работы, полу, возрасту), состав расходов предприятия и другие факторы, влияющие на коммерческую деятельность предприятия.
5. Относительные величины динамики (ОВД)характеризуют изменение изучаемого явления во времени, выявляют направление развития, измеряют интенсивность развития. Рассчитывается относительная величина динамики как отношение уровня признака в определенный период или момент времени к уровню того же признака в предшествующий период или момент времени, т. е. характеризует изменение уровня определенного явления во времени.
Относительные величины динамики называются темпами роста:
Относительные величины могут быть базисными, когда за базу сравнения принимают какой-то один год, и цепными– за базу сравнения принимается предшествующий год.
При расчете темпа роста выбор базы может быть осуществлен двумя способами:
1. База не меняется при вычислении всех показателей. В качестве базы берут начальное по времени значение, также это может быть максимальное значение. Полученный показатель называется базисным темпом роста.
, i = 1,…, n
2. На каждом шаге расчета база меняется. В качестве базы берется предыдущее значение (по времени). Такие показатели называются цепными.
, i = 2,…, n
Например, производство электроэнергии АЭС характеризуется следующими данными.
| Год | ||||
| млрд. кВт-час | 75,1 | 73,8 | 75,2 | 68,8 |
Тогда
а) базисные относительные величины динамики производства электроэнергии:
; ; .
б) цепные относительные величины динамики производства:
; ; .
6. Относительные величины выполнения плана (ОВВП) используются для перспективного планирования деятельности субъекта финансово–хозяйственной сферы и т.д.
ОВВП определяется отношением фактически достигнутого (отчетного) уровня (У1) к запланированному на тот же период (Упл), то есть ОВВП=У1:Упл.
Относительная величина планового задания (ОВПЗ) рассчитывается как отношение уровня, запланированного на предстоящий период, к уровню, фактически сложившемуся в текущем периоде.
Например, объем производства в 2013 г. составил 100000 шт. условных изделий, на 2014 запланировано производство 110000 шт. изделий. Тогда
ОВПЗ
Между относительными величинами динамики, планового задания и выполнения плана существует следующая зависимость
ОВД = ОВВП х ОВПЗ
Пример. Предусматривалось увеличение производства на 5%, фактический рост составил 7,5%. Необходимо определить степень выполнения планового задания.
ОВД = 100 + 7,5 = 107,5 %
ОВПЗ = 100 + 5 = 105 %
ОВВП = = 1,0238
Таким образом, плановое задание перевыполнено на 2,38 %.
Рекомендуемые страницы:
Поиск по сайту
poisk-ru.ru
27. Относительные величины и их значение. Теория статистики
27. Относительные величины и их значение
Одних абсолютных статистических величин недостаточно для характеристики изучаемых объектов. Чтобы отразить состояние, рост, развитие явлений, соотношение их во времени и пространстве, в статистике широко пользуются относительными величинами.
Показатели, полученные в результате сравнения абсолютных величин, в статистике называют относительными величинами.
Относительные величины дают представление, во сколько раз одна абсолютная величина больше другой или какую часть одна абсолютная величина составляет от другой, или сколько единиц одной совокупности приходится на единицу другой.
Относительные величины – это показатель, который представляет собой частное от деления двух статистических величин и характеризует количественное соотношение между ними.
Для расчета относительных величин в числитель ставится сравниваемый показатель, который будет отражать изучаемое явление, а в знаменателе отражается показатель, с которым и будет производиться это сравнение, он является основанием или базой для сравнения. База сравнения – это своеобразный измеритель. Основание имеет результат отношения в зависимости от количественного (числового) значения, который выражается в: коэффициенте, процентах, промилле или децимилле.
Если база сравнения принимается за единицу, то относительная величина является коэффициентом и показывает, во сколько раз изучаемая величина больше основания. Если базу сравнения принять за 100%, то результат вычисления относительной величины будет выражен в процентах.
Если базу сравнения принимают за 1000, то результат сравнения выражается в промилле (0/00). Относительные величины могут быть выражены и децимилле, если основание отношения равно 10 000.
Форма выражения зависит от: количественного соотношения сравниваемых величин; смыслового содержания полученного результата сравнения. Если сравниваемый показатель больше основания, тогда относительная величина выражается в коэффициенте или в проценте, но если сравниваемый показатель меньше основания, тогда относительную величину лучше выразить только в проценте.
Если показатели, которые сравниваются, являются сопоставимыми, то расчет относительных величин может быть правильным.
В зависимости от цели статистического исследования относительные величины подразделяются на следующие виды: выполнение договорных обязательств; относительные величины, характеризующие структуру совокупности; относительные величины динамики; сравнения; координации; относительные величины интенсивности.
Поделитесь на страничкеСледующая глава >
econ.wikireading.ru
