ΠΠ½ΠΊ ΠΎΠ½Π»Π°ΠΉΠ½ Ρ Π³ΡΠ°ΡΠΈΠΊΠΎΠΌ β ΠΠ΅ΡΠΎΠ΄ Π½Π°ΠΈΠΌΠ΅Π½ΡΡΠΈΡ ΠΊΠ²Π°Π΄ΡΠ°ΡΠΎΠ² Β· ΠΠ°Π»ΡΠΊΡΠ»ΡΡΠΎΡ ΠΎΠ½Π»Π°ΠΉΠ½ Β· Π Π΅Π³ΡΠ΅ΡΡΠΈΡ
ΠΠ°Π»ΡΠΊΡΠ»ΡΡΠΎΡ ΡΠ°ΡΡΠ΅ΡΠ° ΠΏΠΎ ΠΌΠ΅ΡΠΎΠ΄Ρ Π½Π°ΠΈΠΌΠ΅Π½ΡΡΠΈΡ ΠΊΠ²Π°Π΄ΡΠ°ΡΠΎΠ²
ΠΠ΅ΡΠΎΠ΄ Π½Π°ΠΈΠΌΠ΅Π½ΡΡΠΈΡ ΠΊΠ²Π°Π΄ΡΠ°ΡΠΎΠ² β ΠΌΠ°ΡΠ΅ΠΌΠ°ΡΠΈΡΠ΅ΡΠΊΠΈΠΉ ΠΌΠ΅ΡΠΎΠ΄, ΠΏΡΠΈΠΌΠ΅Π½ΡΠ΅ΠΌΡΠΉ Π΄Π»Ρ ΡΠ΅ΡΠ΅Π½ΠΈΡ ΡΠ°Π·Π»ΠΈΡΠ½ΡΡ Π·Π°Π΄Π°Ρ, ΠΎΡΠ½ΠΎΠ²Π°Π½Π½ΡΠΉ Π½Π° ΠΌΠΈΠ½ΠΈΠΌΠΈΠ·Π°ΡΠΈΠΈ ΡΡΠΌΠΌΡ ΠΊΠ²Π°Π΄ΡΠ°ΡΠΎΠ² ΠΎΡΠΊΠ»ΠΎΠ½Π΅Π½ΠΈΠΉ Π½Π΅ΠΊΠΎΡΠΎΡΡΡ ΡΡΠ½ΠΊΡΠΈΠΉ ΠΎΡ ΠΈΡΠΊΠΎΠΌΡΡ ΠΏΠ΅ΡΠ΅ΠΌΠ΅Π½Π½ΡΡ .
ΠΠ°Π»ΡΠΊΡΠ»ΡΡΠΎΡ ΡΠ°ΡΡΠ΅ΡΠ° ΡΠ»Π΅ΠΌΠ΅Π½ΡΠΎΠ² ΠΏΡΡΠΌΠΎΠΉ ΠΏΠΎ ΠΌΠ΅ΡΠΎΠ΄Ρ Π½Π°ΠΈΠΌΠ΅Π½ΡΡΠΈΡ ΠΊΠ²Π°Π΄ΡΠ°ΡΠΎΠ²
ΠΠ½Π»Π°ΠΉΠ½ ΠΊΠ°Π»ΡΠΊΡΠ»ΡΡΠΎΡ Π½Π°Ρ ΠΎΠΆΠ΄Π΅Π½ΠΈΡ ΡΠ³Π»ΠΎΠ²ΠΎΠ³ΠΎ ΠΊΠΎΡΡΡΠΈΡΠΈΠ΅Π½ΡΠ°, ΡΠΎΡΠΊΠΈ ΠΏΠ΅ΡΠ΅ΡΠ΅ΡΠ΅Π½ΠΈΠ΅ Β ΠΈ ΡΡΠ°Π²Π½Π΅Π½ΠΈΡ ΠΏΡΡΠΌΠΎΠΉ Π»ΠΈΠ½ΠΈΠΈ ΠΏΠΎ ΠΌΠ΅ΡΠΎΠ΄Ρ Π½Π°ΠΈΠΌΠ΅Π½ΡΡΠΈΡ ΠΊΠ²Π°Π΄ΡΠ°ΡΠΎΠ²
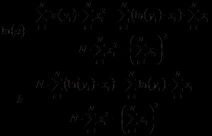
Π€ΠΎΡΠΌΡΠ»Π° ΠΌΠ΅ΡΠΎΠ΄Π° Π½Π°ΠΈΠΌΠ΅Π½ΡΡΠΈΡ ΠΊΠ²Π°Π΄ΡΠ°ΡΠΎΠ²:
Π³Π΄Π΅,
- b = ΠΠ°ΠΊΠ»ΠΎΠ½ Π»ΠΈΠ½ΠΈΠΈ ΡΠ΅Π³ΡΠ΅ΡΡΠΈΠΈ
- a = Π’ΠΎΡΠΊΠ° ΠΏΠ΅ΡΠ΅ΡΠ΅ΡΠ΅Π½ΠΈΡ ΠΎΡΠΈ Y ΠΈ Π»ΠΈΠ½ΠΈΠΈ ΡΠ΅Π³ΡΠ΅ΡΡΠΈΠΈ.
- XΜ = Π‘ΡΠ΅Π΄Π½Π΅Π΅ Π·Π½Π°ΡΠ΅Π½ΠΈΠΉ Ρ
- YΜ = Π‘ΡΠ΅Π΄Π½Π΅Π΅ Π·Π½Π°ΡΠ΅Π½ΠΈΠΉ y
- SDx = Π‘ΡΠ°Π½Π΄Π°ΡΡΠ½ΠΎΠ΅ ΠΎΡΠΊΠ»ΠΎΠ½Π΅Π½ΠΈΠ΅ x
- SDy = Π‘ΡΠ°Π½Π΄Π°ΡΡΠ½ΠΎΠ΅ ΠΎΡΠΊΠ»ΠΎΠ½Π΅Π½ΠΈΠ΅ y
- r = (NΞ£xy β Ξ£xΞ£y) / ΠΊΠΎΡΠ΅Π½Ρ ((NΞ£x2 β (Ξ£x)2) x (NΞ£y)2 β (Ξ£y)2)
ΠΡΠΈΠΌΠ΅Ρ
ΠΠ°ΠΉΡΠΈ ΡΠ΅Π³ΡΠ΅ΡΡΠΈΡ ΠΌΠ΅ΡΠΎΠ΄ΠΎΠΌ Π½Π°ΠΈΠΌΠ΅Π½ΡΡΠΈΡ ΠΊΠ²Π°Π΄ΡΠ°ΡΠΎΠ²
| ΠΠ½Π°ΡΠ΅Π½ΠΈΠ΅ X | ΠΠ½Π°ΡΠ΅Π½ΠΈΠ΅ Y |
| 5 | 6 |
| 2 | 3 |
| 1 | 6 |
| 7 | 9 |
ΠΠΎΠ»ΡΡΠ°Π΅ΠΌ,
| ΠΠ½Π°ΡΠ΅Π½ΠΈΠ΅ X | ΠΠ½Π°ΡΠ΅Π½ΠΈΠ΅ Y |
| 5 | 6 |
| 2 | 3 |
| 1 | 6 |
| 7 | 9 |
ΠΠ°ΠΉΠ΄Π΅ΠΌ,
Π£ΡΠ°Π²Π½Π΅Π½ΠΈΠ΅ Π»ΠΈΠ½ΠΈΠΈ ΡΠ΅Π³ΡΠ΅ΡΡΠΈΠΈ ΠΌΠ΅ΡΠΎΠ΄ΠΎΠΌ Π½Π°ΠΈΠΌΠ΅Π½ΡΡΠΈΡ ΠΊΠ²Π°Π΄ΡΠ°ΡΠΎΠ²
Π Π΅ΡΠ΅Π½ΠΈΠ΅:
Π¨Π°Π³ 1 :
ΠΠΎΠ»ΠΈΡΠ΅ΡΡΠ²ΠΎ Π·Π½Π°ΡΠ΅Π½ΠΈΠΉ x.
N = 4
Π¨Π°Π³ 2 :
ΠΠ°ΠΉΠ΄Π΅ΠΌ XY, X
| ΠΠ½Π°ΡΠ΅Π½ΠΈΠ΅ X | ΠΠ½Π°ΡΠ΅Π½ΠΈΠ΅ Y | X*Y | X*X |
| 60 | 3.1 | 60 * 3.1 = 186 | 60 * 60 = 3600 |
| 61 | 3.6 | 61 * 3.6 = 219.6 | 61 * 61 = 3721 |
| 62 | 3.8 | 62 * 3.8 = 235.6 | 62 * 62 = 3844 |
| 63 | 4 | 63 * 4 = 252 | 63 * 63 = 3969 |
| 65 | 4.1 | 65 * 4.1 = 266.5 | 65 * 65 = 4225 |
Π¨Π°Π³ 3 :
ΠΠ°ΠΉΠ΄Π΅ΠΌ Ξ£X, Ξ£Y, Ξ£XY;, Ξ£X
- Ξ£X = 311
- Ξ£Y = 18.6
- Ξ£XY = 1159.7
- Ξ£X2 = 19359
Π¨Π°Π³ 4 :
ΠΠΎΠ΄ΡΡΠ°Π²ΠΈΠΌ Π·Π½Π°ΡΠ΅Π½ΠΈΡ Π² ΠΏΡΠΈΠ²Π΅Π΄Π΅Π½Π½ΡΡ Π²ΡΡΠ΅ ΡΠΎΡΠΌΡΠ»Ρ.
ΠΠ°ΠΊΠ»ΠΎΠ½(b) = (NΞ£XY β (Ξ£X)(Ξ£Y)) / (NΞ£X2 β (Ξ£X)2)
- = ((5)*(1159.7)-(311)*(18.6))/((5)*(19359)-(311)2)
- = (5798.5 β 5784.6)/(96795 β 96721)
- = 13.9/74
- = 0.19
Π¨Π°Π³ 5 :
ΠΠΎΠ΄ΡΡΠ°Π²ΠΈΠ² Π·Π½Π°ΡΠ΅Π½ΠΈΡ Π² ΡΠΎΡΠΌΡΠ»Ρ
ΠΠ΅ΡΠ΅ΡΠ΅ΡΠ΅Π½ΠΈΠ΅ (a) = (Ξ£Y β b(Ξ£X)) / N
- = (18.6 β 0.19(311))/5
- = (18.6 β 59.09)/5
- = -40.49/5
- = -8.098
Π¨Π°Π³ 6 :
ΠΠΎΠ΄ΡΡΠ°Π²ΠΈΠΌ Π·Π½Π°ΡΠ΅Π½ΠΈΡ Π² ΡΡΠ°Π²Π½Π΅Π½ΠΈΠ΅ ΠΏΡΡΠΌΠΎΠΉ
Π£ΡΠ°Π²Π½Π΅Π½ΠΈΠ΅ ΠΏΡΡΠΌΠΎΠΉ(y) = a + bx
= -8.098 + 0.19x
ΠΡΠ΅Π΄ΠΏΠΎΠ»ΠΎΠΆΠΈΠΌ, Π΅ΡΠ»ΠΈ ΠΌΡ Ρ ΠΎΡΠΈΠΌ, ΡΠ·Π½Π°ΡΡ ΠΏΡΠΈΠ±Π»ΠΈΠ·ΠΈΡΠ΅Π»ΡΠ½ΠΎΠ΅ Ρ Π·Π½Π°ΡΠ΅Π½ΠΈΠ΅ ΠΏΠ΅ΡΠ΅ΠΌΠ΅Π½Π½ΠΎΠΉ x = 64, Π½Π΅ΠΎΠ±Ρ ΠΎΠ΄ΠΈΠΌΠΎ ΠΏΠΎΠ΄ΡΡΠ°Π²ΠΈΡΡ Π·Π½Π°ΡΠ΅Π½ΠΈΠ΅ Π² ΡΠΎΡΠΌΡΠ»Ρ
Π£ΡΠ°Π²Π½Π΅Π½ΠΈΠ΅ ΠΏΡΡΠΌΠΎΠΉ(y) = a + bx
- = -8.098 + 0.19(64)
- = -8.098 + 12.16
- = 4.06
Π‘ΠΈΠ½ΠΎΠ½ΠΈΠΌΡ:Β Least-Squares method, ΠΠΠ
wpcalc.com
ΠΠ΅ΡΠΎΠ΄ Π½Π°ΠΈΠΌΠ΅Π½ΡΡΠΈΡ ΠΊΠ²Π°Π΄ΡΠ°ΡΠΎΠ²
ΠΡΠΎΠ³ΡΠ°ΠΌΠΌΠ° ΠΠΠ
ΠΠ²Π΅Π΄ΠΈΡΠ΅ Π΄Π°Π½Π½ΡΠ΅
ΠΠ°Π½Π½ΡΠ΅ ΠΈ Π°ΠΏΠΏΡΠΎΠΊΡΠΈΠΌΠ°ΡΠΈΡ y = a + bΒ·x
i β Π½ΠΎΠΌΠ΅Ρ ΡΠΊΡΠΏΠ΅ΡΠΈΠΌΠ΅Π½ΡΠ°Π»ΡΠ½ΠΎΠΉ ΡΠΎΡΠΊΠΈ;
xi β Π·Π½Π°ΡΠ΅Π½ΠΈΠ΅ ΡΠΈΠΊΡΠΈΡΠΎΠ²Π°Π½Π½ΠΎΠ³ΠΎ ΠΏΠ°ΡΠ°ΠΌΠ΅ΡΡΠ° Π² ΡΠΎΡΠΊΠ΅ i;
y
Οi β Π²Π΅Ρ ΠΈΠ·ΠΌΠ΅ΡΠ΅Π½ΠΈΡ Π² ΡΠΎΡΠΊΠ΅ i;
yi, ΡΠ°ΡΡ. β ΡΠ°Π·Π½ΠΈΡΠ° ΠΌΠ΅ΠΆΠ΄Ρ ΠΈΠ·ΠΌΠ΅ΡΠ΅Π½Π½ΡΠΌ ΠΈ Π²ΡΡΠΈΡΠ»Π΅Π½Π½ΡΠΌ ΠΏΠΎ ΡΠ΅Π³ΡΠ΅ΡΡΠΈΠΈ Π·Π½Π°ΡΠ΅Π½ΠΈΠ΅ΠΌ y Π² ΡΠΎΡΠΊΠ΅ i;
Sxi(xi) β ΠΎΡΠ΅Π½ΠΊΠ° ΠΏΠΎΠ³ΡΠ΅ΡΠ½ΠΎΡΡΠΈ xi ΠΏΡΠΈ ΠΈΠ·ΠΌΠ΅ΡΠ΅Π½ΠΈΠΈ y Π² ΡΠΎΡΠΊΠ΅ i.
ΠΠ»ΠΈΠΊΠ½ΠΈΡΠ΅ ΠΏΠΎ Π³ΡΠ°ΡΠΈΠΊΡ,
ΡΡΠΎΠ±Ρ Π΄ΠΎΠ±Π°Π²ΠΈΡΡ Π·Π½Π°ΡΠ΅Π½ΠΈΡ Π² ΡΠ°Π±Π»ΠΈΡΡ
ΠΠ°Π½Π½ΡΠ΅ ΠΈ Π°ΠΏΠΏΡΠΎΠΊΡΠΈΠΌΠ°ΡΠΈΡ y = kΒ·x
| i | xi | yi | Οi | yi, ΡΠ°ΡΡ. | Ξyi | Sxi(x |
|---|
ΠΠ»ΠΈΠΊΠ½ΠΈΡΠ΅ ΠΏΠΎ Π³ΡΠ°ΡΠΈΠΊΡ,
ΡΡΠΎΠ±Ρ Π΄ΠΎΠ±Π°Π²ΠΈΡΡ Π·Π½Π°ΡΠ΅Π½ΠΈΡ Π² ΡΠ°Π±Π»ΠΈΡΡ
ΠΠ½ΡΡΡΡΠΊΡΠΈΡ ΠΏΠΎΠ»ΡΠ·ΠΎΠ²Π°ΡΠ΅Π»Ρ ΠΎΠ½Π»Π°ΠΉΠ½-ΠΏΡΠΎΠ³ΡΠ°ΠΌΠΌΡ ΠΠΠ.
Π ΠΏΠΎΠ»Π΅ Π΄Π°Π½Π½ΡΡ Π²Π²Π΅Π΄ΠΈΡΠ΅ Π½Π° ΠΊΠ°ΠΆΠ΄ΠΎΠΉ ΠΎΡΠ΄Π΅Π»ΡΠ½ΠΎΠΉ ΡΡΡΠΎΠΊΠ΅ Π·Π½Π°ΡΠ΅Π½ΠΈΡ `x` ΠΈ `y` Π² ΠΎΠ΄Π½ΠΎΠΉ ΡΠΊΡΠΏΠ΅ΡΠΈΠΌΠ΅Π½ΡΠ°Π»ΡΠ½ΠΎΠΉ ΡΠΎΡΠΊΠ΅. ΠΠ½Π°ΡΠ΅Π½ΠΈΡ Π΄ΠΎΠ»ΠΆΠ½Ρ ΠΎΡΠ΄Π΅Π»ΡΡΡΡΡ ΠΏΡΠΎΠ±Π΅Π»ΡΠ½ΡΠΌ ΡΠΈΠΌΠ²ΠΎΠ»ΠΎΠΌ (ΠΏΡΠΎΠ±Π΅Π»ΠΎΠΌ ΠΈΠ»ΠΈ Π·Π½Π°ΠΊΠΎΠΌ ΡΠ°Π±ΡΠ»ΡΡΠΈΠΈ).
Π’ΡΠ΅ΡΡΠΈΠΌ Π·Π½Π°ΡΠ΅Π½ΠΈΠ΅ΠΌ ΠΌΠΎΠΆΠ΅Ρ Π±ΡΡΡ Π²Π΅Ρ ΡΠΎΡΠΊΠΈ `w`. ΠΡΠ»ΠΈ Π²Π΅Ρ ΡΠΎΡΠΊΠΈ Π½Π΅ ΡΠΊΠ°Π·Π°Π½, ΡΠΎ ΠΎΠ½ ΠΏΡΠΈΡΠ°Π²Π½ΠΈΠ²Π°Π΅ΡΡΡ Π΅Π΄ΠΈΠ½ΠΈΡΠ΅. Π ΠΏΠΎΠ΄Π°Π²Π»ΡΡΡΠ΅ΠΌ Π±ΠΎΠ»ΡΡΠΈΠ½ΡΡΠ²Π΅ ΡΠ»ΡΡΠ°Π΅Π² Π²Π΅ΡΠ° ΡΠΊΡΠΏΠ΅ΡΠΈΠΌΠ΅Π½ΡΠ°Π»ΡΠ½ΡΡ ΡΠΎΡΠ΅ΠΊ Π½Π΅ΠΈΠ·Π²Π΅ΡΡΠ½Ρ ΠΈΠ»ΠΈ Π½Π΅ Π²ΡΡΠΈΡΠ»ΡΡΡΡΡ, Ρ.Π΅. Π²ΡΠ΅ ΡΠΊΡΠΏΠ΅ΡΠΈΠΌΠ΅Π½ΡΠ°Π»ΡΠ½ΡΠ΅ Π΄Π°Π½Π½ΡΠ΅ ΡΡΠΈΡΠ°ΡΡΡΡ ΡΠ°Π²Π½ΠΎΠ·Π½Π°ΡΠ½ΡΠΌΠΈ. ΠΠ½ΠΎΠ³Π΄Π° Π²Π΅ΡΠ° Π² ΠΈΡΡΠ»Π΅Π΄ΡΠ΅ΠΌΠΎΠΌ ΠΈΠ½ΡΠ΅ΡΠ²Π°Π»Π΅ Π·Π½Π°ΡΠ΅Π½ΠΈΠΉ ΡΠΎΠ²Π΅ΡΡΠ΅Π½Π½ΠΎ ΡΠΎΡΠ½ΠΎ Π½Π΅ ΡΠ°Π²Π½ΠΎΠ·Π½Π°ΡΠ½Ρ ΠΈ Π΄Π°ΠΆΠ΅ ΠΌΠΎΠ³ΡΡ Π±ΡΡΡ Π²ΡΡΠΈΡΠ»Π΅Π½Ρ ΡΠ΅ΠΎΡΠ΅ΡΠΈΡΠ΅ΡΠΊΠΈ. ΠΠ°ΠΏΡΠΈΠΌΠ΅Ρ, Π² ΡΠΏΠ΅ΠΊΡΡΠΎΡΠΎΡΠΎΠΌΠ΅ΡΡΠΈΠΈ Π²Π΅ΡΠ° ΠΌΠΎΠΆΠ½ΠΎ Π²ΡΡΠΈΡΠ»ΠΈΡΡ ΠΏΠΎ ΠΏΡΠΎΡΡΡΠΌ ΡΠΎΡΠΌΡΠ»Π°ΠΌ, ΠΏΡΠ°Π²Π΄Π° Π² ΠΎΡΠ½ΠΎΠ²Π½ΠΎΠΌ ΡΡΠΈΠΌ Π²ΡΠ΅ ΠΏΡΠ΅Π½Π΅Π±ΡΠ΅Π³Π°ΡΡ Π΄Π»Ρ ΡΠΌΠ΅Π½ΡΡΠ΅Π½ΠΈΡ ΡΡΡΠ΄ΠΎΠ·Π°ΡΡΠ°Ρ.
ΠΠ°Π½Π½ΡΠ΅ ΠΌΠΎΠΆΠ½ΠΎ Π²ΡΡΠ°Π²ΠΈΡΡ ΡΠ΅ΡΠ΅Π· Π±ΡΡΠ΅Ρ ΠΎΠ±ΠΌΠ΅Π½Π° ΠΈΠ· ΡΠ»Π΅ΠΊΡΡΠΎΠ½Π½ΠΎΠΉ ΡΠ°Π±Π»ΠΈΡΡ ΠΎΡΠΈΡΠ½ΡΡ ΠΏΠ°ΠΊΠ΅ΡΠΎΠ², Π½Π°ΠΏΡΠΈΠΌΠ΅Ρ Excel ΠΈΠ· ΠΠ°ΠΉΠΊΡΠΎΡΠΎΡΡ ΠΡΠΈΡΠ° ΠΈΠ»ΠΈ Calc ΠΈΠ· ΠΡΠΏΠ΅Π½ ΠΡΠΈΡΠ°. ΠΠ»Ρ ΡΡΠΎΠ³ΠΎ Π² ΡΠ»Π΅ΠΊΡΡΠΎΠ½Π½ΠΎΠΉ ΡΠ°Π±Π»ΠΈΡΠ΅ Π²ΡΠ΄Π΅Π»ΠΈΡΠ΅ Π΄ΠΈΠ°ΠΏΠ°Π·ΠΎΠ½ ΠΊΠΎΠΏΠΈΡΡΠ΅ΠΌΡΡ Π΄Π°Π½Π½ΡΡ , ΡΠΊΠΎΠΏΠΈΡΡΠΉΡΠ΅ Π² Π±ΡΡΠ΅Ρ ΠΎΠ±ΠΌΠ΅Π½Π° ΠΈ Π²ΡΡΠ°Π²ΡΡΠ΅ Π΄Π°Π½Π½ΡΠ΅ Π² ΠΏΠΎΠ»Π΅ Π΄Π°Π½Π½ΡΡ Π½Π° ΡΡΠΎΠΉ ΡΡΡΠ°Π½ΠΈΡΠ΅.
ΠΠ»Ρ ΡΠ°ΡΡΠ΅ΡΠ° ΠΏΠΎ ΠΌΠ΅ΡΠΎΠ΄Ρ Π½Π°ΠΈΠΌΠ΅Π½ΡΡΠΈΡ ΠΊΠ²Π°Π΄ΡΠ°ΡΠΎΠ² Π½Π΅ΠΎΠ±Ρ ΠΎΠ΄ΠΈΠΌΠΎ Π½Π΅ ΠΌΠ΅Π½Π΅Π΅ Π΄Π²ΡΡ ΡΠΎΡΠ΅ΠΊ Π΄Π»Ρ ΠΎΠΏΡΠ΅Π΄Π΅Π»Π΅Π½ΠΈΡ Π΄Π²ΡΡ ΠΊΠΎΡΡΡΠΈΡΠΈΠ΅Π½ΡΠΎΠ² `b` β ΡΠ°Π½Π³Π΅Π½ΡΠ° ΡΠ³Π»Π° Π½Π°ΠΊΠ»ΠΎΠ½Π° ΠΏΡΡΠΌΠΎΠΉ ΠΈ `a` β Π·Π½Π°ΡΠ΅Π½ΠΈΡ, ΠΎΡΡΠ΅ΠΊΠ°Π΅ΠΌΠΎΠ³ΠΎ ΠΏΡΡΠΌΠΎΠΉ Π½Π° ΠΎΡΠΈ `y`.
ΠΠ»Ρ ΠΎΡΠ΅Π½ΠΊΠΈ ΠΏΠΎΠ³ΡΠ΅ΡΠ½ΠΎΡΡΠΈ ΡΠ°ΡΡΠΈΡΡΠ²Π°Π΅ΠΌΡΡ ΠΊΠΎΡΡΡΠΈΡΠΈΠ΅Π½ΡΠΎΠ² ΡΠ΅Π³ΡΠ΅ΡΠΈΠΈ Π½ΡΠΆΠ½ΠΎ Π·Π°Π΄Π°ΡΡ ΠΊΠΎΠ»ΠΈΡΠ΅ΡΡΠ²ΠΎ ΡΠΊΡΠΏΠ΅ΡΠΈΠΌΠ΅Π½ΡΠ°Π»ΡΠ½ΡΡ ΡΠΎΡΠ΅ΠΊ Π±ΠΎΠ»ΡΡΠ΅ Π΄Π²ΡΡ . Π§Π΅ΠΌ Π±ΠΎΠ»ΡΡΠ΅ ΠΊΠΎΠ»ΠΈΡΠ΅ΡΡΠ²ΠΎ ΡΠΊΡΠΏΠ΅ΡΠΈΠΌΠ΅Π½ΡΠ°Π»ΡΠ½ΡΡ ΡΠΎΡΠ΅ΠΊ, ΡΠ΅ΠΌ Π±ΠΎΠ»Π΅Π΅ ΡΠΎΡΠ½Π° ΡΡΠ°ΡΠΈΡΡΠΈΡΠ΅ΡΠΊΠ°Ρ ΠΎΡΠ΅Π½ΠΊΠ° ΠΊΠΎΡΡΡΠΈΡΠΈΠ½Π΅ΡΠΎΠ² (Π·Π° ΡΡΠ΅Ρ ΡΠ½ΠΈΠΆΠ΅Π½ΠΈΡ ΠΊΠΎΡΡΡΠΈΡΠΈΠ½Π΅ΡΠ° Π‘ΡΡΡΠ΄Π΅Π½ΡΠ°) ΠΈ ΡΠ΅ΠΌ Π±ΠΎΠ»Π΅Π΅ Π±Π»ΠΈΠ·ΠΊΠ° ΠΎΡΠ΅Π½ΠΊΠ° ΠΊ ΠΎΡΠ΅Π½ΠΊΠ΅ Π³Π΅Π½Π΅ΡΠ°Π»ΡΠ½ΠΎΠΉ Π²ΡΠ±ΠΎΡΠΊΠΈ.
ΠΠΎΠ»ΡΡΠ΅Π½ΠΈΠ΅ Π·Π½Π°ΡΠ΅Π½ΠΈΠΉ Π² ΠΊΠ°ΠΆΠ΄ΠΎΠΉ ΡΠΊΡΠΏΠ΅ΡΠΈΠΌΠ΅Π½ΡΠ°Π»ΡΠ½ΠΎΠΉ ΡΠΎΡΠΊΠ΅ ΡΠ°ΡΡΠΎ ΡΠΎΠΏΡΡΠΆΠ΅Π½ΠΎ ΡΠΎ Π·Π½Π°ΡΠΈΡΠ΅Π»ΡΠ½ΡΠΌΠΈ ΡΡΡΠ΄ΠΎΠ·Π°ΡΡΠ°ΡΠ°ΠΌΠΈ, ΠΏΠΎΡΡΠΎΠΌΡ ΡΠ°ΡΡΠΎ ΠΏΡΠΎΠ²ΠΎΠ΄ΡΡ ΠΊΠΎΠΌΠΏΡΠΎΠΌΠΈΡΡΠ½ΠΎΠ΅ ΡΠΈΡΠ»ΠΎ ΡΠΊΡΠΏΠ΅ΡΠΈΠΌΠ΅Π½ΡΠΎΠ², ΠΊΠΎΡΠΎΡΡΠ΅ Π΄Π°Π΅Ρ ΡΠ΄ΠΎΠ±ΠΎΠ²Π°ΡΠΈΠΌΡΡ ΠΎΡΠ΅Π½ΠΊΡ ΠΈ Π½Π΅ ΠΏΡΠΈΠ²Π΅ΠΎΠ΄ΠΈΡ ΠΊ ΡΡΠ΅Π·ΠΌΠ΅ΡΠ½ΡΠΌ ΡΡΡΠ΄ΠΎ Π·Π°ΡΡΠ°ΡΠ°ΠΌ. ΠΠ°ΠΊ ΠΏΡΠ°Π²ΠΈΠ»ΠΎ ΡΠΈΡΠ»ΠΎ ΡΠΊΡΠΏΠ΅ΡΠΈΠΌΠ΅Π½ΡΠ°Ρ ΡΠΎΡΠ΅ΠΊ Π΄Π»Ρ Π»ΠΈΠ½Π΅ΠΉΠ½ΠΎΠΉ ΠΠΠ Π·Π°Π²ΠΈΡΠΈΠΌΠΎΡΡΠΈ Ρ Π΄Π²ΡΠΌΡ ΠΊΠΎΡΡΡΠΈΡΠΈΠ½Π΅ΡΠ°ΠΌΠΈ Π²ΡΠ±ΠΈΡΠ°Π΅Ρ Π² ΡΠ°ΠΉΠΎΠ½Π΅ 5-7 ΡΠΎΡΠ΅ΠΊ.
ΠΡΠ°ΡΠΊΠ°Ρ ΡΠ΅ΠΎΡΠΈΡ ΠΌΠ΅ΡΠΎΠ΄Π° Π½Π°ΠΈΠΌΠ΅Π½ΡΡΠΈΡ ΠΊΠ²Π°Π΄ΡΠ°ΡΠΎΠ² Π΄Π»Ρ Π»ΠΈΠ½Π΅ΠΉΠ½ΠΎΠΉ Π·Π°Π²ΠΈΡΠΈΠΌΠΎΡΡΠΈ
ΠΠΎΠΏΡΡΡΠΈΠΌ Ρ Π½Π°Ρ ΠΈΠΌΠ΅Π΅ΡΡΡ Π½Π°Π±ΠΎΡ ΡΠΊΡΠΏΠ΅ΡΠΈΠΌΠ΅Π½ΡΠ°Π»ΡΠ½ΡΡ Π΄Π°Π½Π½ΡΡ Π² Π²ΠΈΠ΄Π΅ ΠΏΠ°Ρ Π·Π½Π°ΡΠ΅Π½ΠΈΠΉ [`y_i`, `x_i`], Π³Π΄Π΅ `i` β Π½ΠΎΠΌΠ΅Ρ ΠΎΠ΄Π½ΠΎΠ³ΠΎ ΡΠΊΡΠΏΠ΅ΡΠ΅ΠΌΠ΅Π½ΡΠ°Π»ΡΠ½ΠΎΠ³ΠΎ ΠΈΠ·ΠΌΠ΅ΡΠ΅Π½ΠΈΡ ΠΎΡ 1 Π΄ΠΎ `n`; `y_i` β Π·Π½Π°ΡΠ΅Π½ΠΈΠ΅ ΠΈΠ·ΠΌΠ΅ΡΠ΅Π½Π½ΠΎΠΉ Π²Π΅Π»ΠΈΡΠΈΠ½Ρ Π² ΡΠΎΡΠΊΠ΅ `i`; `x_i` β Π·Π½Π°ΡΠ΅Π½ΠΈΠ΅ Π·Π°Π΄Π°Π²Π°Π΅ΠΌΠΎΠ³ΠΎ Π½Π°ΠΌΠΈ ΠΏΠ°ΡΠ°ΠΌΠ΅ΡΡΠ° Π² ΡΠΎΡΠΊΠ΅ `i`.
Π ΠΊΠ°ΡΠ΅ΡΡΠ²Π΅ ΠΏΡΠΈΠΌΠ΅ΡΠ° ΠΌΠΎΠΆΠ½ΠΎ ΡΠ°ΡΡΠΌΠΎΡΡΠ΅ΡΡ Π΄Π΅ΠΉΡΡΠ²ΠΈΠ΅ Π·Π°ΠΊΠΎΠ½Π° ΠΠΌΠ°. ΠΠ·ΠΌΠ΅Π½ΡΡ Π½Π°ΠΏΡΡΠΆΠ΅Π½ΠΈΠ΅ (ΡΠ°Π·Π½ΠΎΡΡΡ ΠΏΠΎΡΠ΅Π½ΡΠΈΠ°Π»ΠΎΠ²) ΠΌΠ΅ΠΆΠ΄Ρ ΡΡΠ°ΡΡΠΊΠ°ΠΌΠΈ ΡΠ»Π΅ΠΊΡΡΠΈΡΠ΅ΡΠΊΠΎΠΉ ΡΠ΅ΠΏΠΈ, ΠΌΡ Π·Π°ΠΌΠ΅ΡΡΠ΅ΠΌ Π²Π΅Π»ΠΈΡΠΈΠ½Ρ ΡΠΎΠΊΠ°, ΠΏΡΠΎΡ ΠΎΠ΄ΡΡΠ΅Π³ΠΎ ΠΏΠΎ ΡΡΠΎΠΌΡ ΡΡΠ°ΡΡΠΊΡ. Π€ΠΈΠ·ΠΈΠΊΠ° Π½Π°ΠΌ Π΄Π°Π΅Ρ Π·Π°Π²ΠΈΡΠΈΠΌΠΎΡΡΡ, Π½Π°ΠΉΠ΄Π΅Π½Π½ΡΡ ΡΠΊΡΠΏΠ΅ΡΠΈΠΌΠ΅Π½ΡΠ°Π»ΡΠ½ΠΎ:
`I = U / R`,
Π³Π΄Π΅ `I` β ΡΠΈΠ»Π° ΡΠΎΠΊΠ°; `R` β ΡΠΎΠΏΡΠΎΡΠΈΠ²Π»Π΅Π½ΠΈΠ΅; `U` β Π½Π°ΠΏΡΡΠΆΠ΅Π½ΠΈΠ΅.
Π ΡΡΠΎΠΌ ΡΠ»ΡΡΠ°Π΅ `y_i` Ρ Π½Π°Ρ ΠΈΠΌΠ΅ΡΡΠ΅ΠΌΠ°Ρ Π²Π΅Π»ΠΈΡΠΈΠ½Π° ΡΠΎΠΊΠ°, Π° `x_i` β Π·Π½Π°ΡΠ΅Π½ΠΈΠ΅ Π½Π°ΠΏΡΡΠΆΠ΅Π½ΠΈΡ.
Π ΠΊΠ°ΡΠ΅ΡΡΠ²Π΅ Π΄ΡΡΠ³ΠΎΠ³ΠΎ ΠΏΡΠΈΠΌΠ΅ΡΠ° ΡΠ°ΡΡΠΌΠΎΡΡΠΈΠΌ ΠΏΠΎΠ³Π»ΠΎΡΠ΅Π½ΠΈΠ΅ ΡΠ²Π΅ΡΠ° ΡΠ°ΡΡΠ²ΠΎΡΠΎΠΌ Π²Π΅ΡΠ΅ΡΡΠ²Π° Π² ΡΠ°ΡΡΠ²ΠΎΡΠ΅. Π₯ΠΈΠΌΠΈΡ Π΄Π°Π΅Ρ Π½Π°ΠΌ ΡΠΎΡΠΌΡΠ»Ρ:
`A = Ξ΅ l C`,
Π³Π΄Π΅ `A` β ΠΎΠΏΡΠΈΡΠ΅ΡΠΊΠ°Ρ ΠΏΠ»ΠΎΡΠ½ΠΎΡΡΡ ΡΠ°ΡΡΠ²ΠΎΡΠ°;
`Ξ΅` β ΠΊΠΎΡΡΡΠΈΡΠΈΠ΅Π½Ρ ΠΏΡΠΎΠΏΡΡΠΊΠ°Π½ΠΈΡ ΡΠ°ΡΡΠ²ΠΎΡΠ΅Π½Π½ΠΎΠ³ΠΎ Π²Π΅ΡΠ΅ΡΡΠ²Π°;
`l` β Π΄Π»ΠΈΠ½Π° ΠΏΡΡΠΈ ΠΏΡΠΈ ΠΏΡΠΎΡ
ΠΎΠΆΠ΄Π΅Π½ΠΈΠΈ ΡΠ²Π΅ΡΠ° ΡΠ΅ΡΠ΅Π· ΠΊΡΠ²Π΅ΡΡ Ρ ΡΠ°ΡΡΠ²ΠΎΡΠΎΠΌ;
`C` β ΠΊΠΎΠ½ΡΠ΅Π½ΡΡΠ°ΡΠΈΡ ΡΠ°ΡΡΠ²ΠΎΡΠ΅Π½Π½ΠΎΠ³ΠΎ Π²Π΅ΡΠ΅ΡΡΠ²Π°.
Π ΡΡΠΎΠΌ ΡΠ»ΡΡΠ°Π΅ `y_i` Ρ Π½Π°Ρ ΠΈΠΌΠ΅ΡΡΠ΅ΠΌΠ°Ρ Π²Π΅Π»ΠΈΡΠΈΠ½Π° ΠΎΡΠΏΡΠΈΡΠ΅ΡΠΊΠΎΠΉ ΠΏΠ»ΠΎΡΠ½ΠΎΡΡΠΈ `A`, Π° `x_i` β Π·Π½Π°ΡΠ΅Π½ΠΈΠ΅ ΠΊΠΎΠ½ΡΠ΅Π½ΡΡΠ°ΡΠΈΠΈ Π²Π΅ΡΠ΅ΡΡΠ²Π°, ΠΊΠΎΡΠΎΡΠΎΠ΅ ΠΌΡ Π·Π°Π΄Π°Π΅ΠΌ.
ΠΡ Π±ΡΠ΄Π΅ΠΌ ΡΠ°ΡΡΠΌΠ°ΡΡΠΈΠ²Π°ΡΡ ΡΠ»ΡΡΠ°ΠΉ, ΠΊΠΎΠ³Π΄Π° ΠΎΡΠ½ΠΎΡΠΈΡΠ΅Π»ΡΠ½Π°Ρ ΠΏΠΎΠ³ΡΠ΅ΡΠ½ΠΎΡΡΡ Π² Π·Π°Π΄Π°Π½ΠΈΠΈ `x_i` Π·Π½Π°ΡΠΈΡΠ΅Π»ΡΠ½ΠΎ ΠΌΠ΅Π½ΡΡΠ΅, ΠΎΡΠ½ΠΎΡΠΈΡΠ΅Π»ΡΠ½ΠΎΠΉ ΠΏΠΎΠ³ΡΠ΅ΡΠ½ΠΎΡΡΠΈ ΠΈΠ·ΠΌΠ΅ΡΠ΅Π½ΠΈΡ `y_i`. Π’Π°ΠΊ ΠΆΠ΅ ΠΌΡ Π±ΡΠ΄Π΅ΠΌ ΠΏΡΠ΅Π΄ΠΏΠΎΠ»Π°Π³Π°ΡΡ, ΡΡΠΎ Π²ΡΠ΅ ΠΈΠ·ΠΌΠ΅ΡΠ΅Π½Π½ΡΠ΅ Π²Π΅Π»ΠΈΡΠΈΠ½Ρ `y_i` ΡΠ»ΡΡΠ°ΠΉΠ½ΡΠ΅ ΠΈ Π½ΠΎΡΠΌΠ°Π»ΡΠ½ΠΎ ΡΠ°ΡΠΏΡΠ΅Π΄Π΅Π»Π΅Π½Π½ΡΠ΅, Ρ.Π΅. ΠΏΠΎΠ΄ΡΠΈΠ½ΡΡΡΡΡ Π½ΠΎΡΠΌΠ°Π»ΡΠ½ΠΎΠΌΡ Π·Π°ΠΊΠΎΠ½Ρ ΡΠ°ΡΠΏΡΠ΅Π΄Π΅Π»Π΅Π½ΠΈΡ.
Π ΡΠ»ΡΡΠ°Π΅ Π»ΠΈΠ½Π΅ΠΉΠ½ΠΎΠΉ Π·Π°Π²ΠΈΡΠΈΠΌΠΎΡΡΠΈ `y` ΠΎΡ `x`, ΠΌΡ ΠΌΠΎΠΆΠ΅ΠΌ Π½Π°ΠΏΠΈΡΠ°ΡΡ ΡΠ΅ΠΎΡΠ΅ΡΠΈΡΠ΅ΡΠΊΡΡ Π·Π°Π²ΠΈΡΠΈΠΌΠΎΡΡΡ:
`y = a + b x`.
Π‘ Π³Π΅ΠΎΠΌΠ΅ΡΡΠΈΡΠ΅ΡΠΊΠΎΠΉ ΡΠΎΡΠΊΠΈ Π·ΡΠ΅Π½ΠΈΡ, ΠΊΠΎΡΡΡΠΈΡΠΈΠ΅Π½Ρ `b` ΠΎΠ±ΠΎΠ·Π½Π°ΡΠ°Π΅Ρ ΡΠ°Π½Π³Π΅Π½Ρ ΡΠ³Π»Π° Π½Π°ΠΊΠ»ΠΎΠ½Π° Π»ΠΈΠ½ΠΈΠΈ ΠΊ ΠΎΡΠΈ `x`, Π° ΠΊΠΎΡΡΡΠΈΡΠΈΠ΅Π½Ρ `a` β Π·Π½Π°ΡΠ΅Π½ΠΈΠ΅ `y` Π² ΡΠΎΡΠΊΠ΅ ΠΏΠ΅ΡΠ΅ΡΠ΅ΡΠ΅Π½ΠΈΡ Π»ΠΈΠ½ΠΈΠΈ Ρ ΠΎΡΡΡ `y` (ΠΏΡΠΈ `x = 0`).
ΠΠ°Ρ ΠΎΠΆΠ΄Π΅Π½ΠΈΠ΅ ΠΏΠ°ΡΠ°ΠΌΠ΅ΡΡΠΎΠ² Π»ΠΈΠ½ΠΈΠΈ ΡΠ΅Π³ΡΠ΅ΡΠΈΠΈ.
Π ΡΠΊΡΠΏΠ΅ΡΠΈΠΌΠ΅Π½ΡΠ΅ ΠΈΠ·ΠΌΠ΅ΡΠ΅Π½Π½ΡΠ΅ Π·Π½Π°ΡΠ΅Π½ΠΈΡ `y_i` Π½Π΅ ΠΌΠΎΠ³ΡΡ ΡΠΎΡΠ½ΠΎ Π»Π΅ΡΡ Π½Π° ΡΠ΅ΠΎΠ΅ΡΠ΅ΡΠΈΡΠ΅ΡΠΊΡΡ ΠΏΡΡΠΌΡΡ ΠΈΠ·-Π·Π° ΠΎΡΠΈΠ±ΠΎΠΊ ΠΈΠ·ΠΌΠ΅ΡΠ΅Π½ΠΈΡ, Π²ΡΠ΅Π³Π΄Π° ΠΏΡΠΈΡΡΡΠΈΡ
ΡΠ΅Π°Π»ΡΠ½ΠΎΠΉ ΠΆΠΈΠ·Π½ΠΈ.
ΠΠΎΡΡΠΎΠΌΡ Π»ΠΈΠ½Π΅ΠΉΠ½ΠΎΠ΅ ΡΡΠ°Π²Π½Π΅Π½ΠΈΠ΅, Π½ΡΠΆΠ½ΠΎ ΠΏΡΠ΅Π΄ΡΡΠ°Π²ΠΈΡΡ ΡΠΈΡΡΠ΅ΠΌΠΎΠΉ ΡΡΠ°Π²Π½Π΅Π½ΠΈΠΉ:
`y_i = a + b x_i + Ξ΅_i` Β (1),
Π³Π΄Π΅ `Ξ΅_i` β Π½Π΅ΠΈΠ·Π²Π΅ΡΡΠ½Π°Ρ ΠΎΡΠΈΠ±ΠΊΠ° ΠΈΠ·ΠΌΠ΅ΡΠ΅Π½ΠΈΡ `y` Π² `i`-ΠΎΠΌ ΡΠΊΡΠΏΠ΅ΡΠΈΠΌΠ΅Π½ΡΠ΅.
ΠΠ°Π²ΠΈΡΠΈΠΌΠΎΡΡΡ (1) ΡΠ°ΠΊ ΠΆΠ΅ Π½Π°Π·ΡΠ²Π°ΡΡ ΡΠ΅Π³ΡΠ΅ΡΡΠΈΠ΅ΠΉ, Ρ.Π΅. Π·Π°Π²ΠΈΡΠΈΠΌΠΎΡΡΡΡ Π΄Π²ΡΡ Π²Π΅Π»ΠΈΡΠΈΠ½ Π΄ΡΡΠ³ ΠΎΡ Π΄ΡΡΠ³Π° ΡΠΎ ΡΡΠ°ΡΠΈΡΡΠΈΡΠ΅ΡΠΊΠΎΠΉ Π·Π½Π°ΡΠΈΠΌΠΎΡΡΡΡ.
ΠΠ°Π΄Π°ΡΠ΅ΠΉ Π²ΠΎΡΡΡΠ°Π½ΠΎΠ²Π»Π΅Π½ΠΈΡ Π·Π°Π²ΠΈΡΠΈΠΌΠΎΡΡΠΈ ΡΠ²Π»ΡΠ΅ΡΡΡ Π½Π°Ρ ΠΎΠΆΠ΄Π΅Π½ΠΈΠ΅ ΠΊΠΎΡΡΡΠΈΡΠΈΠ΅Π½ΡΠΎΠ² `a` ΠΈ `b` ΠΏΠΎ ΡΠΊΡΠΏΠ΅ΡΠΈΠΌΠ΅Π½ΡΠ°Π»ΡΠ½ΡΠΌ ΡΠΎΡΠΊΠ°ΠΌ [`y_i`, `x_i`].
ΠΠ»Ρ Π½Π°Ρ ΠΎΠΆΠ΄Π΅Π½ΠΈΡ ΠΊΠΎΡΡΡΠΈΡΠΈΠ΅Π½ΡΠΎΠ² `a` ΠΈ `b` ΠΎΠ±ΡΡΠ½ΠΎ ΠΈΡΠΏΠΎΠ»ΡΠ·ΡΠ΅ΡΡΡ ΠΌΠ΅ΡΠΎΠ΄ Π½Π°ΠΈΠΌΠ΅Π½ΡΡΠΈΡ ΠΊΠ²Π°Π΄ΡΠ°ΡΠΎΠ² (ΠΠΠ). ΠΠ½ ΡΠ²Π»ΡΠ΅ΡΡΡ ΡΠ°ΡΡΠ½ΡΠΌ ΡΠ»ΡΡΠ°Π΅ΠΌ ΠΏΡΠΈΠ½ΡΠΈΠΏΠ° ΠΌΠ°ΠΊΡΠΈΠΌΠ°Π»ΡΠ½ΠΎΠ³ΠΎ ΠΏΡΠ°Π²Π΄ΠΎΠΏΠΎΠ΄ΠΎΠ±ΠΈΡ.
ΠΠ΅ΡΠ΅ΠΏΠΈΡΠ΅ΠΌ (1) Π² Π²ΠΈΠ΄Π΅ `Ξ΅_i = y_i — a — b x_i`.
Π’ΠΎΠ³Π΄Π° ΡΡΠΌΠΌΠ° ΠΊΠ²Π°Π΄ΡΠ°ΡΠΎΠ² ΠΎΡΠΈΠ±ΠΎΠΊ Π±ΡΠ΄Π΅Ρ
`Ξ¦ = sum_(i=1)^(n) Ξ΅_i^2 = sum_(i=1)^(n) (y_i — a — b x_i)^2`. Β (2)
ΠΡΠΈΠ½ΡΠΈΠΏΠΎΠΌ ΠΠΠ (ΠΌΠ΅ΡΠΎΠ΄Π° Π½Π°ΠΈΠΌΠ΅Π½ΡΡΠΈΡ
ΠΊΠ²Π°Π΄ΡΠ°ΡΠΎΠ²) ΡΠ²Π»ΡΠ΅ΡΡΡ ΠΌΠΈΠ½ΠΈΠΌΠΈΠ·Π°ΡΠΈΡ ΡΡΠΌΠΌΡ (2) ΠΎΡΠ½ΠΎΡΠΈΡΠ΅Π»ΡΠ½ΠΎ ΠΏΠ°ΡΠ°ΠΌΠ΅ΡΡΠΎΠ² `a` ΠΈ `b`.
ΠΠΈΠ½ΠΈΠΌΡΠΌ Π΄ΠΎΡΡΠΈΠ³Π°Π΅ΡΡΡ, ΠΊΠΎΠ³Π΄Π° ΡΠ°ΡΡΠ½ΡΠ΅ ΠΏΡΠΎΠΈΠ·Π²ΠΎΠ΄Π½ΡΠ΅ ΠΎΡ ΡΡΠΌΠΌΡ (2) ΠΏΠΎ ΠΊΠΎΡΡΡΠΈΡΠΈΠ΅Π½ΡΠ°ΠΌ `a` ΠΈ `b` ΡΠ°Π²Π½Ρ Π½ΡΠ»Ρ:
`frac(partial Ξ¦)(partial a) = frac( partial sum_(i=1)^(n) (y_i — a — b x_i)^2)(partial a) = 0`
`frac(partial Ξ¦)(partial b) = frac( partial sum_(i=1)^(n) (y_i — a — b x_i)^2)(partial b) = 0`
Π Π°ΡΠΊΡΡΠ²Π°Ρ ΠΏΡΠΎΠΈΠ·Π²ΠΎΠ΄Π½ΡΠ΅, ΠΏΠΎΠ»ΡΡΠ°Π΅ΠΌ ΡΠΈΡΡΠ΅ΠΌΡ ΠΈΠ· Π΄Π²ΡΡ
ΡΡΠ°Π²Π½Π΅Π½ΠΈΠΉ Ρ Π΄Π²ΡΠΌΡ Π½Π΅ΠΈΠ·Π²Π΅ΡΡΠ½ΡΠΌΠΈ:
`sum_(i=1)^(n) (2a + 2bx_i — 2y_i) = sum_(i=1)^(n) (a + bx_i — y_i) = 0`
`sum_(i=1)^(n) (2bx_i^2 + 2ax_i — 2x_iy_i) = sum_(i=1)^(n) (bx_i^2 + ax_i — x_iy_i) = 0`
Π Π°ΡΠΊΡΡΠ²Π°Π΅ΠΌ ΡΠΊΠΎΠ±ΠΊΠΈ ΠΈ ΠΏΠ΅ΡΠ΅Π½ΠΎΡΠΈΠΌ Π½Π΅Π·Π°Π²ΠΈΡΡΡΠΈΠ΅ ΠΎΡ ΠΈΡΠΊΠΎΠΌΡΡ
ΠΊΠΎΡΡΡΠΈΡΠΈΠ΅Π½ΡΠΎΠ² ΡΡΠΌΠΌΡ Π² Π΄ΡΡΠ³ΡΡ ΠΏΠΎΠ»ΠΎΠ²ΠΈΠ½Ρ, ΠΏΠΎΠ»ΡΡΠΈΠΌ ΡΠΈΡΡΠ΅ΠΌΡ Π»ΠΈΠ½Π΅ΠΉΠ½ΡΡ
ΡΡΠ°Π²Π½Π΅Π½ΠΈΠΉ:
`sum_(i=1)^(n) y_i = a n + b sum_(i=1)^(n) bx_i`
`sum_(i=1)^(n) x_iy_i = a sum_(i=1)^(n) x_i + b sum_(i=1)^(n) x_i^2`
Π Π΅ΡΠ°Ρ, ΠΏΠΎΠ»ΡΡΠ΅Π½Π½ΡΡ ΡΠΈΡΡΠ΅ΠΌΡ, Π½Π°Ρ ΠΎΠ΄ΠΈΠΌ ΡΠΎΡΠΌΡΠ»Ρ Π΄Π»Ρ ΠΊΠΎΡΡΡΠΈΡΠΈΠ΅Π½ΡΠΎΠ² `a` ΠΈ `b`:
`a = frac(sum_(i=1)^(n) y_i sum_(i=1)^(n) x_i^2 — sum_(i=1)^(n) x_i sum_(i=1)^(n) x_iy_i) (n sum_(i=1)^(n) x_i^2 — (sum_(i=1)^(n) x_i )^2)` Β (3.1)
`b = frac(n sum_(i=1)^(n) x_iy_i — sum_(i=1)^(n) x_i sum_(i=1)^(n) y_i) (n sum_(i=1)^(n) x_i^2 — (sum_(i=1)^(n) x_i )^2)` Β (3.2)
ΠΡΠΈ ΡΠΎΡΠΌΡΠ»Ρ ΠΈΠΌΠ΅ΡΡ ΡΠ΅ΡΠ΅Π½ΠΈΡ, ΠΊΠΎΠ³Π΄Π° `n > 1` (Π»ΠΈΠ½ΠΈΡ ΠΌΠΎΠΆΠ½ΠΎ ΠΏΠΎΡΡΡΠΎΠΈΡΡ Π½Π΅ ΠΌΠ΅Π½Π΅Π΅ ΡΠ΅ΠΌ ΠΏΠΎ 2-ΠΌ ΡΠΎΡΠΊΠ°ΠΌ) ΠΈ ΠΊΠΎΠ³Π΄Π° Π΄Π΅ΡΠ΅ΡΠΌΠΈΠ½Π°Π½Ρ `D = n sum_(i=1)^(n) x_i^2 — (sum_(i=1)^(n) x_i )^2 != 0`, Ρ.Π΅. ΠΊΠΎΠ³Π΄Π° ΡΠΎΡΠΊΠΈ `x_i` Π² ΡΠΊΡΠΏΠ΅ΡΠΈΠΌΠ΅Π½ΡΠ΅ ΡΠ°Π·Π»ΠΈΡΠ°ΡΡΡΡ (Ρ.Π΅. ΠΊΠΎΠ³Π΄Π° Π»ΠΈΠ½ΠΈΡ Π½Π΅ Π²Π΅ΡΡΠΈΠΊΠ°Π»ΡΠ½Π°).
ΠΡΠ΅Π½ΠΊΠ° ΠΏΠΎΠ³ΡΠ΅ΡΠ½ΠΎΡΡΠ΅ΠΉ ΠΊΠΎΡΡΡΠΈΡΠΈΠ΅Π½ΡΠΎΠ² Π»ΠΈΠ½ΠΈΠΈ ΡΠ΅Π³ΡΠ΅ΡΠΈΠΈ
ΠΠ»Ρ Π±ΠΎΠ»Π΅Π΅ ΡΠΎΡΠ½ΠΎΠΉ ΠΎΡΠ΅Π½ΠΊΠΈ ΠΏΠΎΠ³ΡΠ΅ΡΠ½ΠΎΡΡΠΈ Π²ΡΡΠΈΡΠ»Π΅Π½ΠΈΡ ΠΊΠΎΡΡΡΠΈΡΠΈΠ΅Π½ΡΠΎΠ² `a` ΠΈ `b` ΠΆΠ΅Π»Π°ΡΠ΅Π»ΡΠ½ΠΎ Π±ΠΎΠ»ΡΡΠΎΠ΅ ΠΊΠΎΠ»ΠΈΡΠ΅ΡΡΠ²ΠΎ ΡΠΊΡΠΏΠ΅ΡΠΈΠΌΠ΅Π½ΡΠ°Π»ΡΠ½ΡΡ ΡΠΎΡΠ΅ΠΊ. ΠΡΠΈ `n = 2`, ΠΎΡΠ΅Π½ΠΈΡΡ ΠΏΠΎΠ³ΡΠ΅ΡΠ½ΠΎΡΡΡ ΠΊΠΎΡΡΡΠΈΡΠΈΠ΅Π½ΡΠΎΠ² Π½Π΅Π²ΠΎΠ·ΠΌΠΎΠΆΠ½ΠΎ, Ρ.ΠΊ. Π°ΠΏΠΏΡΠΎΠΊΡΠΈΠΌΠΈΡΡΡΡΠ°Ρ Π»ΠΈΠ½ΠΈΡ Π±ΡΠ΄Π΅Ρ ΠΎΠ΄Π½ΠΎΠ·Π½Π°ΡΠ½ΠΎ ΠΏΡΠΎΡ ΠΎΠ΄ΠΈΡΡ ΡΠ΅ΡΠ΅Π· Π΄Π²Π΅ ΡΠΎΡΠΊΠΈ.
ΠΠΎΠ³ΡΠ΅ΡΠ½ΠΎΡΡΡ ΡΠ»ΡΡΠ°ΠΉΠ½ΠΎΠΉ Π²Π΅Π»ΠΈΡΠΈΠ½Ρ `V` ΠΎΠΏΡΠ΅Π΄Π΅Π»ΡΠ΅ΡΡΡ Π·Π°ΠΊΠΎΠ½ΠΎΠΌ Π½Π°ΠΊΠΎΠΏΠ»Π΅Π½ΠΈΡ ΠΎΡΠΈΠ±ΠΎΠΊ
`S_V^2 = sum_(i=1)^p (frac(partial f)(partial z_i))^2 S_(z_i)^2`,
Π³Π΄Π΅ `p` β ΡΠΈΡΠ»ΠΎ ΠΏΠ°ΡΠ°ΠΌΠ΅ΡΡΠΎΠ² `z_i` Ρ ΠΏΠΎΠ³ΡΠ΅ΡΠ½ΠΎΡΡΡΡ `S_(z_i)`, ΠΊΠΎΡΠΎΡΡΠ΅ Π²Π»ΠΈΡΡΡ Π½Π° ΠΏΠΎΠ³ΡΠ΅ΡΠ½ΠΎΡΡΡ `S_V`;
`f` β ΡΡΠ½ΠΊΡΠΈΡ Π·Π°Π²ΠΈΡΠΈΠΌΠΎΡΡΠΈ `V` ΠΎΡ `z_i`.
Π Π°ΡΠΏΠΈΡΠ΅ΠΌ Π·Π°ΠΊΠΎΠ½ Π½Π°ΠΊΠΎΠΏΠ»Π΅Π½ΠΈΡ ΠΎΡΠΈΠ±ΠΎΠΊ Π΄Π»Ρ ΠΏΠΎΠ³ΡΠ΅ΡΠ½ΠΎΡΡΠΈ ΠΊΠΎΡΡΡΠΈΡΠΈΠ΅Π½ΡΠΎΠ² `a` ΠΈ `b`
`S_a^2 = sum_(i=1)^(n)(frac(partial a)(partial y_i))^2 S_(y_i)^2 + sum_(i=1)^(n)(frac(partial a)(partial x_i))^2 S_(x_i)^2 = S_y^2 sum_(i=1)^(n)(frac(partial a)(partial y_i))^2 `
,`S_b^2 = sum_(i=1)^(n)(frac(partial b)(partial y_i))^2 S_(y_i)^2 + sum_(i=1)^(n)(frac(partial b)(partial x_i))^2 S_(x_i)^2 = S_y^2 sum_(i=1)^(n)(frac(partial b)(partial y_i))^2 `
,Ρ.ΠΊ. `S_(x_i)^2 = 0` (ΠΌΡ ΡΠ°Π½Π΅Π΅ ΡΠ΄Π΅Π»Π°Π»ΠΈ ΠΎΠ³ΠΎΠ²ΠΎΡΠΊΡ, ΡΡΠΎ ΠΏΠΎΠ³ΡΠ΅ΡΠ½ΠΎΡΡΡ `x` ΠΏΡΠ΅Π½Π΅Π±ΡΠ΅ΠΆΠΈΡΠ΅Π»ΡΠ½ΠΎ ΠΌΠ°Π»Π°).
`S_y^2 = S_(y_i)^2` β ΠΏΠΎΠ³ΡΠ΅ΡΠ½ΠΎΡΡΡ (Π΄ΠΈΡΠΏΠ΅ΡΡΠΈΡ, ΠΊΠ²Π°Π΄ΡΠ°Ρ ΡΡΠ°Π½Π΄Π°ΡΡΠ½ΠΎΠ³ΠΎ ΠΎΡΠΊΠ»ΠΎΠ½Π΅Π½ΠΈΡ) Π² ΠΈΠ·ΠΌΠ΅ΡΠ΅Π½ΠΈΠΈ `y` Π² ΠΏΡΠ΅Π΄ΠΏΠΎΠ»ΠΎΠΆΠ΅Π½ΠΈΠΈ, ΡΡΠΎ ΠΏΠΎΠ³ΡΠ΅ΡΠ½ΠΎΡΡΡ ΠΎΠ΄Π½ΠΎΡΠΎΠ΄Π½Π° Π΄Π»Ρ Π²ΡΠ΅Ρ Π·Π½Π°ΡΠ΅Π½ΠΈΠΉ `y`.
ΠΠΎΠ΄ΡΡΠ°Π²Π»ΡΡ Π² ΠΏΠΎΠ»ΡΡΠ΅Π½Π½ΡΠ΅ Π²ΡΡΠ°ΠΆΠ΅Π½ΠΈΡ ΡΠΎΡΠΌΡΠ»Ρ Π΄Π»Ρ ΡΠ°ΡΡΠ΅ΡΠ° `a` ΠΈ `b` ΠΏΠΎΠ»ΡΡΠΈΠΌ
`S_a^2 = S_y^2 frac(sum_(i=1)^(n) ( sum_(i=1)^(n) x_i^2 — x_i sum_(i=1)^(n) x_i)^2) (D^2) = S_y^2 frac(( n sum_(i=1)^(n) x_i^2 — (sum_(i=1)^(n) x_i)^2) sum_(i=1)^(n) x_i^2 ) (D^2) = S_y^2 frac(sum_(i=1)^(n) x_i^2) (D)` Β (4.1)
`S_b^2 = S_y^2 frac(sum_(i=1)^(n) ( n x_i — sum_(i=1)^(n) x_i)^2) (D^2) = S_y^2 frac(n ( n sum_(i=1)^(n) x_i^2 — (sum_(i=1)^(n) x_i)^2)) (D^2) = S_y^2 frac(n) (D)` Β (4.2)
Π Π±ΠΎΠ»ΡΡΠΈΠ½ΡΡΠ²Π΅ ΡΠ΅Π°Π»ΡΠ½ΡΡ ΡΠΊΡΠΏΠ΅ΡΠΈΠΌΠ΅Π½ΡΠΎΠ² Π·Π½Π°ΡΠ΅Π½ΠΈΠ΅ `Sy` Π½Π΅ ΠΈΠ·ΠΌΠ΅ΡΡΠ΅ΡΡΡ. ΠΠ»Ρ ΡΡΠΎΠ³ΠΎ Π½ΡΠΆΠ½ΠΎ ΠΏΡΠΎΠ²ΠΎΠ΄ΠΈΡΡ Π½Π΅ΡΠΊΠΎΠ»ΡΠΊΠΎ ΠΏΠ°ΡΠ°Π»Π΅Π»ΡΠ½ΡΡ ΠΈΠ·ΠΌΠ΅ΡΠ΅Π½ΠΈΠΉ (ΠΎΠΏΡΡΠΎΠ²) Π² ΠΎΠ΄Π½ΠΎΠΉ ΠΈΠ»ΠΈ Π½Π΅ΡΠΊΠΎΠ»ΡΠΊΠΈΡ ΡΠΎΡΠΊΠ°Ρ ΠΏΠ»Π°Π½Π°, ΡΡΠΎ ΡΠ²Π΅Π»ΠΈΡΠΈΠ²Π°Π΅Ρ Π²ΡΠ΅ΠΌΡ (ΠΈ Π²ΠΎΠ·ΠΌΠΎΠΆΠ½ΠΎ ΡΡΠΎΠΈΠΌΠΎΡΡΡ) ΡΠΊΡΠΏΠ΅ΡΠΈΠΌΠ΅Π½ΡΠ°. ΠΠΎΡΡΠΎΠΌΡ ΠΎΠ±ΡΡΠ½ΠΎ ΠΏΠΎΠ»Π°Π³Π°ΡΡ, ΡΡΠΎ ΠΎΡΠΊΠ»ΠΎΠ½Π΅Π½ΠΈΠ΅ `y` ΠΎΡ Π»ΠΈΠ½ΠΈΠΈ ΡΠ΅Π³ΡΠ΅ΡΡΠΈΠΈ ΠΌΠΎΠΆΠ½ΠΎ ΡΡΠΈΡΠ°ΡΡ ΡΠ»ΡΡΠ°ΠΉΠ½ΡΠΌ. ΠΡΠ΅Π½ΠΊΡ Π΄ΠΈΡΠΏΠ΅ΡΡΠΈΠΈ `y` Π² ΡΡΠΎΠΌ ΡΠ»ΡΡΠ°Π΅, ΡΡΠΈΡΠ°ΡΡ ΠΏΠΎ ΡΠΎΡΠΌΡΠ»Π΅.
`S_y^2 = S_(y, ΠΎΡΡ)^2 = frac(sum_(i=1)^n (y_i — a — b x_i )^2) (n-2)`
.ΠΠ΅Π»ΠΈΡΠ΅Π»Ρ `n-2` ΠΏΠΎΡΠ²Π»ΡΠ΅ΡΡΡ ΠΏΠΎΡΠΎΠΌΡ, ΡΡΠΎ Ρ Π½Π°Ρ ΡΠ½ΠΈΠ·ΠΈΠ»ΠΎΡΡ ΡΠΈΡΠ»ΠΎ ΡΡΠ΅ΠΏΠ΅Π½Π΅ΠΉ ΡΠ²ΠΎΠ±ΠΎΠ΄Ρ ΠΈΠ·-Π·Π° ΡΠ°ΡΡΠ΅ΡΠ° Π΄Π²ΡΡ ΠΊΠΎΡΡΡΠΈΡΠΈΠ΅Π½ΡΠΎΠ² ΠΏΠΎ ΡΡΠΎΠΉ ΠΆΠ΅ Π²ΡΠ±ΠΎΡΠΊΠ΅ ΡΠΊΡΠΏΠ΅ΡΠΈΠΌΠ΅Π½ΡΠ°Π»ΡΠ½ΡΡ Π΄Π°Π½Π½ΡΡ .
Π’Π°ΠΊΡΡ ΠΎΡΠ΅Π½ΠΊΡ Π΅ΡΠ΅ Π½Π°Π·ΡΠ²Π°ΡΡ ΠΎΡΡΠ°ΡΠΎΡΠ½ΠΎΠΉ Π΄ΠΈΡΠΏΠ΅ΡΡΠΈΠ΅ΠΉ ΠΎΡΠ½ΠΎΡΠΈΡΠ΅Π»ΡΠ½ΠΎ Π»ΠΈΠ½ΠΈΠΈ ΡΠ΅Π³ΡΠ΅ΡΡΠΈΠΈ `S_(y, ΠΎΡΡ)^2`.
ΠΡΠ΅Π½ΠΊΠ° Π·Π½Π°ΡΠΈΠΌΠΎΡΡΠΈ ΠΊΠΎΡΡΡΠΈΡΠΈΠ΅Π½ΡΠΎΠ² ΠΏΡΠΎΠ²ΠΎΠ΄ΠΈΡΡΡ ΠΏΠΎ ΠΊΡΠΈΡΠ΅ΡΠΈΡ Π‘ΡΡΡΠ΄Π΅Π½ΡΠ°
`t_a = frac(|a|) (S_a)`, `t_b = frac(|b|) (S_b)`
ΠΡΠ»ΠΈ ΡΠ°ΡΡΡΠΈΡΠ°Π½Π½ΡΠ΅ ΠΊΡΠΈΡΠ΅ΡΠΈΠΈ `t_a`, `t_b` ΠΌΠ΅Π½ΡΡΠ΅ ΡΠ°Π±Π»ΠΈΡΠ½ΡΡ ΠΊΡΠΈΡΠ΅ΡΠΈΠ΅Π² `t(P, n-2)`, ΡΠΎ ΡΡΠΈΡΠ°Π΅ΡΡΡ, ΡΡΠΎ ΡΠΎΠΎΡΠ²Π΅ΡΡΠ²ΡΡΡΠΈΠΉ ΠΊΠΎΡΡΡΠΈΡΠΈΠ΅Π½Ρ Π½Π΅ Π·Π½Π°ΡΠΈΠΌΠΎ ΠΎΡΠ»ΠΈΡΠ°Π΅ΡΡΡ ΠΎΡ Π½ΡΠ»Ρ Ρ Π·Π°Π΄Π°Π½Π½ΠΎΠΉ Π²Π΅ΡΠΎΡΡΠ½ΠΎΡΡΡΡ `P`.
ΠΡΠ»ΠΈ `t_a
ΠΡΠ»ΠΈ `t_b
ΠΠ»Ρ ΠΎΡΠ΅Π½ΠΊΠΈ ΠΊΠ°ΡΠ΅ΡΡΠ²Π° ΠΎΠΏΠΈΡΠ°Π½ΠΈΡ Π»ΠΈΠ½Π΅ΠΉΠ½ΠΎΠΉ Π·Π°Π²ΠΈΡΠΈΠΌΠΎΡΡΠΈ, ΠΌΠΎΠΆΠ½ΠΎ ΡΡΠ°Π²Π½ΠΈΡΡ `S_(y, ΠΎΡΡ)^2` ΠΈ `S_(bar y)` ΠΎΡΠ½ΠΎΡΠΈΡΠ΅Π»ΡΠ½ΠΎ ΡΡΠ΅Π΄Π½Π΅Π³ΠΎ Ρ ΠΈΡΠΏΠΎΠ»ΡΠ·ΠΎΠ²Π°Π½ΠΈΠ΅ΠΌ ΠΊΡΠΈΡΠ΅ΡΠΈΡ Π€ΠΈΡΠ΅ΡΠ°.
`S_(bar y) = frac(sum_(i=1)^n (y_i — bar y)^2) (n-1) = frac(sum_(i=1)^n (y_i — (sum_(i=1)^n y_i) /n )^2) (n-1)`
β Π²ΡΠ±ΠΎΡΠΎΡΠ½Π°Ρ ΠΎΡΠ΅Π½ΠΊΠ° Π΄ΠΈΡΠΏΠ΅ΡΡΠΈΠΈ `y` ΠΎΡΠ½ΠΎΡΠΈΡΠ΅Π»ΡΠ½ΠΎ ΡΡΠ΅Π΄Π½Π΅Π³ΠΎ.
ΠΠ»Ρ ΠΎΡΠ΅Π½ΠΊΠΈ ΡΡΡΠ΅ΠΊΡΠΈΠ²Π½ΠΎΡΡΠΈ ΡΡΠ°Π²Π½Π΅Π½ΠΈΡ ΡΠ΅Π³ΡΠ΅ΡΠΈΠΈ Π΄Π»Ρ ΠΎΠΏΠΈΡΠ°Π½ΠΈΡ Π·Π°Π²ΠΈΡΠΈΠΌΠΎΡΡΠΈ ΡΠ°ΡΡΠΈΡΡΠ²Π°ΡΡ ΠΊΠΎΡΡΡΠΈΡΠΈΠ΅Π½Ρ Π€ΠΈΡΠ΅ΡΠ°
`F = S_(bar y) / S_(y, ΠΎΡΡ)^2`,
ΠΊΠΎΡΠΎΡΡΠΉ ΡΡΠ°Π²Π½ΠΈΠ²Π°ΡΡ Ρ ΡΠ°Π±Π»ΠΈΡΠ½ΡΠΌ ΠΊΠΎΡΡΡΠΈΡΠΈΠ΅Π½ΡΠΎΠΌ Π€ΠΈΡΠ΅ΡΠ° `F(p, n-1, n-2)`.
ΠΡΠ»ΠΈ `F > F(P, n-1, n-2)`, ΡΡΠΈΡΠ°Π΅ΡΡΡ ΡΡΠ°ΡΠΈΡΡΠΈΡΠ΅ΡΠΊΠΈ Π·Π½Π°ΡΠΈΠΌΡΠΌ Ρ Π²Π΅ΡΠΎΡΡΠ½ΠΎΡΡΡΡ `P` ΡΠ°Π·Π»ΠΈΡΠΈΠ΅ ΠΌΠ΅ΠΆΠ΄Ρ ΠΎΠΏΠΈΡΠ°Π½ΠΈΠ΅ΠΌ Π·Π°Π²ΠΈΡΠΈΠΌΠΎΡΡΠΈ `y = f(x)` Ρ ΠΏΠΎΠΌΠΎΡΡΡ ΡΡΠ°Π²Π΅Π½Π΅Π½ΠΈΡ ΡΠ΅Π³ΡΠ΅ΡΠΈΠΈ ΠΈ ΠΎΠΏΠΈΡΠ°Π½ΠΈΠ΅ΠΌ Ρ ΠΏΠΎΠΌΠΎΡΡΡ ΡΡΠ΅Π΄Π½Π΅Π³ΠΎ. Π’.Π΅. ΡΠ΅Π³ΡΠ΅ΡΡΠΈΡ Π»ΡΡΡΠ΅ ΠΎΠΏΠΈΡΡΠ²Π°Π΅Ρ Π·Π°Π²ΠΈΡΠΈΠΌΠΎΡΡΡ, ΡΠ΅ΠΌ ΡΠ°Π·Π±ΡΠΎΡ `y` ΠΎΡΠ½ΠΎΡΠΈΡΠ΅Π»ΡΠ½ΠΎ ΡΡΠ΅Π΄Π½Π΅Π³ΠΎ.
xn——7kcbakcjfdd9ab3avfoelp4b2ar8dzd9e.xn--p1ai
ΠΠ°Π»ΡΠΊΡΠ»ΡΡΠΎΡ ΡΠ°ΡΡΠ΅ΡΠ° ΠΏΠΎ ΠΌΠ΅ΡΠΎΠ΄Ρ Π½Π°ΠΈΠΌΠ΅Π½ΡΡΠΈΡ ΠΊΠ²Π°Π΄ΡΠ°ΡΠΎΠ²
ΠΠ΅ΡΠΎΠ΄ Π½Π°ΠΈΠΌΠ΅Π½ΡΡΠΈΡ ΠΊΠ²Π°Π΄ΡΠ°ΡΠΎΠ² β ΠΌΠ°ΡΠ΅ΠΌΠ°ΡΠΈΡΠ΅ΡΠΊΠΈΠΉ ΠΌΠ΅ΡΠΎΠ΄, ΠΏΡΠΈΠΌΠ΅Π½ΡΠ΅ΠΌΡΠΉ Π΄Π»Ρ ΡΠ΅ΡΠ΅Π½ΠΈΡ ΡΠ°Π·Π»ΠΈΡΠ½ΡΡ Π·Π°Π΄Π°Ρ, ΠΎΡΠ½ΠΎΠ²Π°Π½Π½ΡΠΉ Π½Π° ΠΌΠΈΠ½ΠΈΠΌΠΈΠ·Π°ΡΠΈΠΈ ΡΡΠΌΠΌΡ ΠΊΠ²Π°Π΄ΡΠ°ΡΠΎΠ² ΠΎΡΠΊΠ»ΠΎΠ½Π΅Π½ΠΈΠΉ Π½Π΅ΠΊΠΎΡΠΎΡΡΡ ΡΡΠ½ΠΊΡΠΈΠΉ ΠΎΡ ΠΈΡΠΊΠΎΠΌΡΡ ΠΏΠ΅ΡΠ΅ΠΌΠ΅Π½Π½ΡΡ .
ΠΠ°Π»ΡΠΊΡΠ»ΡΡΠΎΡ ΡΠ°ΡΡΠ΅ΡΠ° ΡΠ»Π΅ΠΌΠ΅Π½ΡΠΎΠ² ΠΏΡΡΠΌΠΎΠΉ ΠΏΠΎ ΠΌΠ΅ΡΠΎΠ΄Ρ Π½Π°ΠΈΠΌΠ΅Π½ΡΡΠΈΡ ΠΊΠ²Π°Π΄ΡΠ°ΡΠΎΠ²
ΠΠ½Π»Π°ΠΉΠ½ ΠΊΠ°Π»ΡΠΊΡΠ»ΡΡΠΎΡ Π½Π°Ρ ΠΎΠΆΠ΄Π΅Π½ΠΈΡ ΡΠ³Π»ΠΎΠ²ΠΎΠ³ΠΎ ΠΊΠΎΡΡΡΠΈΡΠΈΠ΅Π½ΡΠ°, ΡΠΎΡΠΊΠΈ ΠΏΠ΅ΡΠ΅ΡΠ΅ΡΠ΅Π½ΠΈΠ΅ ΠΈ ΡΡΠ°Π²Π½Π΅Π½ΠΈΡ ΠΏΡΡΠΌΠΎΠΉ Π»ΠΈΠ½ΠΈΠΈ ΠΏΠΎ ΠΌΠ΅ΡΠΎΠ΄Ρ Π½Π°ΠΈΠΌΠ΅Π½ΡΡΠΈΡ ΠΊΠ²Π°Π΄ΡΠ°ΡΠΎΠ²
ΠΡΠΈΠΌΠ΅Ρ
ΠΠ°ΠΉΡΠΈ ΡΠ΅Π³ΡΠ΅ΡΡΠΈΡ ΠΌΠ΅ΡΠΎΠ΄ΠΎΠΌ Π½Π°ΠΈΠΌΠ΅Π½ΡΡΠΈΡ ΠΊΠ²Π°Π΄ΡΠ°ΡΠΎΠ²
| ΠΠ½Π°ΡΠ΅Π½ΠΈΠ΅ X | ΠΠ½Π°ΡΠ΅Π½ΠΈΠ΅ Y |
| 5 | 6 |
| 2 | 3 |
| 1 | 6 |
| 7 | 9 |
ΠΠΎΠ»ΡΡΠ°Π΅ΠΌ,
| ΠΠ½Π°ΡΠ΅Π½ΠΈΠ΅ X | ΠΠ½Π°ΡΠ΅Π½ΠΈΠ΅ Y |
| 5 | 6 |
| 2 | 3 |
| 1 | 6 |
| 7 | 9 |
ΠΠ°ΠΉΠ΄Π΅ΠΌ,
Π£ΡΠ°Π²Π½Π΅Π½ΠΈΠ΅ Π»ΠΈΠ½ΠΈΠΈ ΡΠ΅Π³ΡΠ΅ΡΡΠΈΠΈ ΠΌΠ΅ΡΠΎΠ΄ΠΎΠΌ Π½Π°ΠΈΠΌΠ΅Π½ΡΡΠΈΡ ΠΊΠ²Π°Π΄ΡΠ°ΡΠΎΠ²
Π Π΅ΡΠ΅Π½ΠΈΠ΅:
Π¨Π°Π³ 1 :
ΠΠΎΠ»ΠΈΡΠ΅ΡΡΠ²ΠΎ Π·Π½Π°ΡΠ΅Π½ΠΈΠΉ x.
N = 4
Π¨Π°Π³ 2 :
ΠΠ°ΠΉΠ΄Π΅ΠΌ XY, X2 Π΄Π»Ρ ΠΏΠΎΠ»ΡΡΠ΅Π½Π½ΡΡ Π·Π½Π°ΡΠ΅Π½ΠΈΠΉ. Π‘ΠΌΠΎΡΡΠΈΡΠ΅ ΡΠ°Π±Π»ΠΈΡΡ Π½ΠΈΠΆΠ΅
| ΠΠ½Π°ΡΠ΅Π½ΠΈΠ΅ X | ΠΠ½Π°ΡΠ΅Π½ΠΈΠ΅ Y | X*Y | X*X |
| 60 | 3.1 | 60 * 3.1 = 186 | 60 * 60 = 3600 |
| 61 | 3.6 | 61 * 3.6 = 219.6 | 61 * 61 = 3721 |
| 62 | 3.8 | 62 * 3.8 = 235.6 | 62 * 62 = 3844 |
| 63 | 4 | 63 * 4 = 252 | 63 * 63 = 3969 |
| 65 | 4.1 | 65 * 4.1 = 266.5 | 65 * 65 = 4225 |
Π¨Π°Π³ 3 :
ΠΠ°ΠΉΠ΄Π΅ΠΌ Ξ£X, Ξ£Y, Ξ£XY;, Ξ£X2 Π΄Π»Ρ Π·Π½Π°ΡΠ΅Π½ΠΈΠΉ
- Ξ£X = 311
- Ξ£Y = 18.6
- Ξ£XY = 1159.7
- Ξ£X2 = 19359
Π¨Π°Π³ 4 :
ΠΠΎΠ΄ΡΡΠ°Π²ΠΈΠΌ Π·Π½Π°ΡΠ΅Π½ΠΈΡ Π² ΠΏΡΠΈΠ²Π΅Π΄Π΅Π½Π½ΡΡ Π²ΡΡΠ΅ ΡΠΎΡΠΌΡΠ»Ρ.
ΠΠ°ΠΊΠ»ΠΎΠ½(b) = (NΞ£XY β (Ξ£X)(Ξ£Y)) / (NΞ£X2 β (Ξ£X)2)
- = ((5)*(1159.7)-(311)*(18.6))/((5)*(19359)-(311)2)
- = (5798.5 β 5784.6)/(96795 β 96721)
- = 13.9/74
- = 0.19
Π¨Π°Π³ 5 :
ΠΠΎΠ΄ΡΡΠ°Π²ΠΈΠ² Π·Π½Π°ΡΠ΅Π½ΠΈΡ Π² ΡΠΎΡΠΌΡΠ»Ρ
ΠΠ΅ΡΠ΅ΡΠ΅ΡΠ΅Π½ΠΈΠ΅ (a) = (Ξ£Y β b(Ξ£X)) / N
- = (18.6 β 0.19(311))/5
- = (18.6 β 59.09)/5
- = -40.49/5
- = -8.098
Π¨Π°Π³ 6 :
ΠΠΎΠ΄ΡΡΠ°Π²ΠΈΠΌ Π·Π½Π°ΡΠ΅Π½ΠΈΡ Π² ΡΡΠ°Π²Π½Π΅Π½ΠΈΠ΅ ΠΏΡΡΠΌΠΎΠΉ
Π£ΡΠ°Π²Π½Π΅Π½ΠΈΠ΅ ΠΏΡΡΠΌΠΎΠΉ(y) = a + bx
= -8.098 + 0.19x
ΠΡΠ΅Π΄ΠΏΠΎΠ»ΠΎΠΆΠΈΠΌ, Π΅ΡΠ»ΠΈ ΠΌΡ Ρ ΠΎΡΠΈΠΌ, ΡΠ·Π½Π°ΡΡ ΠΏΡΠΈΠ±Π»ΠΈΠ·ΠΈΡΠ΅Π»ΡΠ½ΠΎΠ΅ Ρ Π·Π½Π°ΡΠ΅Π½ΠΈΠ΅ ΠΏΠ΅ΡΠ΅ΠΌΠ΅Π½Π½ΠΎΠΉ x = 64, Π½Π΅ΠΎΠ±Ρ ΠΎΠ΄ΠΈΠΌΠΎ ΠΏΠΎΠ΄ΡΡΠ°Π²ΠΈΡΡ Π·Π½Π°ΡΠ΅Π½ΠΈΠ΅ Π² ΡΠΎΡΠΌΡΠ»Ρ
Π£ΡΠ°Π²Π½Π΅Π½ΠΈΠ΅ ΠΏΡΡΠΌΠΎΠΉ(y) = a + bx
- = -8.098 + 0.19(64)
- = -8.098 + 12.16
- = 4.06
Π Π²Π°ΡΠ΅ΠΌ Π±ΡΠ°ΡΠ·Π΅ΡΠ΅ ΠΎΡΠΊΠ»ΡΡΠ΅Π½ Javascript.Π‘ΠΈΠ½ΠΎΠ½ΠΈΠΌΡ: Least-Squares method, ΠΠΠ
Π§ΡΠΎΠ±Ρ ΠΏΡΠΎΠΈΠ·Π²Π΅ΡΡΠΈ ΡΠ°ΡΡΠ΅ΡΡ, Π½Π΅ΠΎΠ±Ρ ΠΎΠ΄ΠΈΠΌΠΎ ΡΠ°Π·ΡΠ΅ΡΠΈΡΡ ΡΠ»Π΅ΠΌΠ΅Π½ΡΡ ActiveX!
ΠΠ΅ ΠΌΠΎΠΆΠ΅ΡΡ Π½Π°ΠΏΠΈΡΠ°ΡΡ ΡΠ°Π±ΠΎΡΡ ΡΠ°ΠΌ?
ΠΠΎΠ²Π΅ΡΡ Π΅Ρ Π½Π°ΡΠΈΠΌ ΡΠΏΠ΅ΡΠΈΠ°Π»ΠΈΡΡΠ°ΠΌ
ΠΎΡ 100 Ρ.ΡΡΠΎΠΈΠΌΠΎΡΡΡ Π·Π°ΠΊΠ°Π·Π°
2 ΡΠ°ΡΠ°ΠΌΠΈΠ½. ΡΡΠΎΠΊ
Π£Π·Π½Π°ΡΡ ΡΡΠΎΠΈΠΌΠΎΡΡΡ
ΠΠΎΠ΄Π΅Π»ΠΈΡΠ΅ΡΡ Ρ Π΄ΡΡΠ³ΠΈΠΌΠΈ:
ΠΡΠ»ΠΈ ΠΌΠ°ΡΠ΅ΡΠΈΠ°Π» ΠΏΠΎΠ½ΡΠ°Π²ΠΈΠ»ΡΡ ΠΠ°ΠΌ ΠΈ ΠΎΠΊΠ°Π·Π°Π»ΡΡ Π΄Π»Ρ ΠΠ°Ρ ΠΏΠΎΠ»Π΅Π·Π½ΡΠΌ, ΠΏΠΎΠ΄Π΅Π»ΠΈΡΠ΅ΡΡ ΠΈΠΌ ΡΠΎ ΡΠ²ΠΎΠΈΠΌΠΈ Π΄ΡΡΠ·ΡΡΠΌΠΈ!
calcsbox.com
ΠΠ΅ΡΠΎΠ΄ Π½Π°ΠΈΠΌΠ΅Π½ΡΡΠΈΡ ΠΊΠ²Π°Π΄ΡΠ°ΡΠΎΠ² Π² Excel

ΠΠ΅ΡΠΎΠ΄ Π½Π°ΠΈΠΌΠ΅Π½ΡΡΠΈΡ ΠΊΠ²Π°Π΄ΡΠ°ΡΠΎΠ² ΠΏΡΠ΅Π΄ΡΡΠ°Π²Π»ΡΠ΅Ρ ΡΠΎΠ±ΠΎΠΉ ΠΌΠ°ΡΠ΅ΠΌΠ°ΡΠΈΡΠ΅ΡΠΊΡΡ ΠΏΡΠΎΡΠ΅Π΄ΡΡΡ ΠΏΠΎΡΡΡΠΎΠ΅Π½ΠΈΡ Π»ΠΈΠ½Π΅ΠΉΠ½ΠΎΠ³ΠΎ ΡΡΠ°Π²Π½Π΅Π½ΠΈΡ, ΠΊΠΎΡΠΎΡΠΎΠ΅ Π±Ρ Π½Π°ΠΈΠ±ΠΎΠ»Π΅Π΅ ΡΠΎΡΠ½ΠΎ ΡΠΎΠΎΡΠ²Π΅ΡΡΡΠ²ΠΎΠ²Π°Π»ΠΎ Π½Π°Π±ΠΎΡΡ Π΄Π²ΡΡ ΡΡΠ΄ΠΎΠ² ΡΠΈΡΠ΅Π». Π¦Π΅Π»ΡΡ ΠΏΡΠΈΠΌΠ΅Π½Π΅Π½ΠΈΡ Π΄Π°Π½Π½ΠΎΠ³ΠΎ ΡΠΏΠΎΡΠΎΠ±Π° ΡΠ²Π»ΡΠ΅ΡΡΡ ΠΌΠΈΠ½ΠΈΠΌΠΈΠ·Π°ΡΠΈΡ ΠΎΠ±ΡΠ΅ΠΉ ΠΊΠ²Π°Π΄ΡΠ°ΡΠΈΡΠ½ΠΎΠΉ ΠΎΡΠΈΠ±ΠΊΠΈ. Π ΠΏΡΠΎΠ³ΡΠ°ΠΌΠΌΠ΅ Excel ΠΈΠΌΠ΅ΡΡΡΡ ΠΈΠ½ΡΡΡΡΠΌΠ΅Π½ΡΡ, Ρ ΠΏΠΎΠΌΠΎΡΡΡ ΠΊΠΎΡΠΎΡΡΡ ΠΌΠΎΠΆΠ½ΠΎ ΠΏΡΠΈΠΌΠ΅Π½ΡΡΡ Π΄Π°Π½Π½ΡΠΉ ΠΌΠ΅ΡΠΎΠ΄ ΠΏΡΠΈ Π²ΡΡΠΈΡΠ»Π΅Π½ΠΈΡΡ . ΠΠ°Π²Π°ΠΉΡΠ΅ ΡΠ°Π·Π±Π΅ΡΠ΅ΠΌΡΡ, ΠΊΠ°ΠΊ ΡΡΠΎ Π΄Π΅Π»Π°Π΅ΡΡΡ.
ΠΡΠΏΠΎΠ»ΡΠ·ΠΎΠ²Π°Π½ΠΈΠ΅ ΠΌΠ΅ΡΠΎΠ΄Π° Π² ΠΠΊΡΠ΅Π»Π΅
ΠΠ΅ΡΠΎΠ΄ Π½Π°ΠΈΠΌΠ΅Π½ΡΡΠΈΡ ΠΊΠ²Π°Π΄ΡΠ°ΡΠΎΠ² (ΠΠΠ) ΡΠ²Π»ΡΠ΅ΡΡΡ ΠΌΠ°ΡΠ΅ΠΌΠ°ΡΠΈΡΠ΅ΡΠΊΠΈΠΌ ΠΎΠΏΠΈΡΠ°Π½ΠΈΠ΅ΠΌ Π·Π°Π²ΠΈΡΠΈΠΌΠΎΡΡΠΈ ΠΎΠ΄Π½ΠΎΠΉ ΠΏΠ΅ΡΠ΅ΠΌΠ΅Π½Π½ΠΎΠΉ ΠΎΡ Π²ΡΠΎΡΠΎΠΉ. ΠΠ³ΠΎ ΠΌΠΎΠΆΠ½ΠΎ ΠΈΡΠΏΠΎΠ»ΡΠ·ΠΎΠ²Π°ΡΡ ΠΏΡΠΈ ΠΏΡΠΎΠ³Π½ΠΎΠ·ΠΈΡΠΎΠ²Π°Π½ΠΈΠΈ.
ΠΠΊΠ»ΡΡΠ΅Π½ΠΈΠ΅ Π½Π°Π΄ΡΡΡΠΎΠΉΠΊΠΈ Β«ΠΠΎΠΈΡΠΊ ΡΠ΅ΡΠ΅Π½ΠΈΡΒ»
ΠΠ»Ρ ΡΠΎΠ³ΠΎ, ΡΡΠΎΠ±Ρ ΠΈΡΠΏΠΎΠ»ΡΠ·ΠΎΠ²Π°ΡΡ ΠΠΠ Π² ΠΠΊΡΠ΅Π»Π΅, Π½ΡΠΆΠ½ΠΎ Π²ΠΊΠ»ΡΡΠΈΡΡ Π½Π°Π΄ΡΡΡΠΎΠΉΠΊΡ Β«ΠΠΎΠΈΡΠΊ ΡΠ΅ΡΠ΅Π½ΠΈΡΒ», ΠΊΠΎΡΠΎΡΠ°Ρ ΠΏΠΎ ΡΠΌΠΎΠ»ΡΠ°Π½ΠΈΡ ΠΎΡΠΊΠ»ΡΡΠ΅Π½Π°.
- ΠΠ΅ΡΠ΅Ρ ΠΎΠ΄ΠΈΠΌ Π²ΠΎ Π²ΠΊΠ»Π°Π΄ΠΊΡ Β«Π€Π°ΠΉΠ»Β».
- ΠΠ»ΠΈΠΊΠ°Π΅ΠΌ ΠΏΠΎ Π½Π°ΠΈΠΌΠ΅Π½ΠΎΠ²Π°Π½ΠΈΡ ΡΠ°Π·Π΄Π΅Π»Π° Β«ΠΠ°ΡΠ°ΠΌΠ΅ΡΡΡΒ».
- Π ΠΎΡΠΊΡΡΠ²ΡΠ΅ΠΌΡΡ ΠΎΠΊΠ½Π΅ ΠΎΡΡΠ°Π½Π°Π²Π»ΠΈΠ²Π°Π΅ΠΌ Π²ΡΠ±ΠΎΡ Π½Π° ΠΏΠΎΠ΄ΡΠ°Π·Π΄Π΅Π»Π΅ Β«ΠΠ°Π΄ΡΡΡΠΎΠΉΠΊΠΈΒ».
- Π Π±Π»ΠΎΠΊΠ΅ Β«Π£ΠΏΡΠ°Π²Π»Π΅Π½ΠΈΠ΅Β», ΠΊΠΎΡΠΎΡΡΠΉ ΡΠ°ΡΠΏΠΎΠ»ΠΎΠΆΠ΅Π½ Π² Π½ΠΈΠΆΠ½Π΅ΠΉ ΡΠ°ΡΡΠΈ ΠΎΠΊΠ½Π°, ΡΡΡΠ°Π½Π°Π²Π»ΠΈΠ²Π°Π΅ΠΌ ΠΏΠ΅ΡΠ΅ΠΊΠ»ΡΡΠ°ΡΠ΅Π»Ρ Π² ΠΏΠΎΠ·ΠΈΡΠΈΡ Β«ΠΠ°Π΄ΡΡΡΠΎΠΉΠΊΠΈ ExcelΒ» (Π΅ΡΠ»ΠΈ Π² Π½ΡΠΌ Π²ΡΡΡΠ°Π²Π»Π΅Π½ΠΎ Π΄ΡΡΠ³ΠΎΠ΅ Π·Π½Π°ΡΠ΅Π½ΠΈΠ΅) ΠΈ ΠΆΠΌΠ΅ΠΌ Π½Π° ΠΊΠ½ΠΎΠΏΠΊΡ Β«ΠΠ΅ΡΠ΅ΠΉΡΠΈβ¦Β».
- ΠΡΠΊΡΡΠ²Π°Π΅ΡΡΡ Π½Π΅Π±ΠΎΠ»ΡΡΠΎΠ΅ ΠΎΠΊΠΎΡΠΊΠΎ. Π‘ΡΠ°Π²ΠΈΠΌ Π² Π½ΡΠΌ Π³Π°Π»ΠΎΡΠΊΡ ΠΎΠΊΠΎΠ»ΠΎ ΠΏΠ°ΡΠ°ΠΌΠ΅ΡΡΠ° Β«ΠΠΎΠΈΡΠΊ ΡΠ΅ΡΠ΅Π½ΠΈΡΒ». ΠΠΌΠ΅ΠΌ Π½Π° ΠΊΠ½ΠΎΠΏΠΊΡ Β«OKΒ».





Π’Π΅ΠΏΠ΅ΡΡ ΡΡΠ½ΠΊΡΠΈΡ ΠΠΎΠΈΡΠΊ ΡΠ΅ΡΠ΅Π½ΠΈΡ Π² Excel Π°ΠΊΡΠΈΠ²ΠΈΡΠΎΠ²Π°Π½Π°, Π° Π΅Ρ ΠΈΠ½ΡΡΡΡΠΌΠ΅Π½ΡΡ ΠΏΠΎΡΠ²ΠΈΠ»ΠΈΡΡ Π½Π° Π»Π΅Π½ΡΠ΅.
Π£ΡΠΎΠΊ: ΠΠΎΠΈΡΠΊ ΡΠ΅ΡΠ΅Π½ΠΈΡ Π² ΠΠΊΡΠ΅Π»Π΅
Π£ΡΠ»ΠΎΠ²ΠΈΡ Π·Π°Π΄Π°ΡΠΈ
ΠΠΏΠΈΡΠ΅ΠΌ ΠΏΡΠΈΠΌΠ΅Π½Π΅Π½ΠΈΠ΅ ΠΠΠ Π½Π° ΠΊΠΎΠ½ΠΊΡΠ΅ΡΠ½ΠΎΠΌ ΠΏΡΠΈΠΌΠ΅ΡΠ΅. ΠΠΌΠ΅Π΅ΠΌ Π΄Π²Π° ΡΡΠ΄Π° ΡΠΈΡΠ΅Π» x ΠΈ y, ΠΏΠΎΡΠ»Π΅Π΄ΠΎΠ²Π°ΡΠ΅Π»ΡΠ½ΠΎΡΡΡ ΠΊΠΎΡΠΎΡΡΡ ΠΏΡΠ΅Π΄ΡΡΠ°Π²Π»Π΅Π½Π° Π½Π° ΠΈΠ·ΠΎΠ±ΡΠ°ΠΆΠ΅Π½ΠΈΠΈ Π½ΠΈΠΆΠ΅.

ΠΠ°ΠΈΠ±ΠΎΠ»Π΅Π΅ ΡΠΎΡΠ½ΠΎ Π΄Π°Π½Π½ΡΡ Π·Π°Π²ΠΈΡΠΈΠΌΠΎΡΡΡ ΠΌΠΎΠΆΠ΅Ρ ΠΎΠΏΠΈΡΠ°ΡΡ ΡΡΠ½ΠΊΡΠΈΡ:
y=a+nx
ΠΡΠΈ ΡΡΠΎΠΌ, ΠΈΠ·Π²Π΅ΡΡΠ½ΠΎ ΡΡΠΎ ΠΏΡΠΈ x=0 y ΡΠΎΠΆΠ΅ ΡΠ°Π²Π½ΠΎ 0. ΠΠΎΡΡΠΎΠΌΡ Π΄Π°Π½Π½ΠΎΠ΅ ΡΡΠ°Π²Π½Π΅Π½ΠΈΠ΅ ΠΌΠΎΠΆΠ½ΠΎ ΠΎΠΏΠΈΡΠ°ΡΡ Π·Π°Π²ΠΈΡΠΈΠΌΠΎΡΡΡΡ y=nx.
ΠΠ°ΠΌ ΠΏΡΠ΅Π΄ΡΡΠΎΠΈΡ Π½Π°ΠΉΡΠΈ ΠΌΠΈΠ½ΠΈΠΌΠ°Π»ΡΠ½ΡΡ ΡΡΠΌΠΌΡ ΠΊΠ²Π°Π΄ΡΠ°ΡΠΎΠ² ΡΠ°Π·Π½ΠΎΡΡΠΈ.
Π Π΅ΡΠ΅Π½ΠΈΠ΅
ΠΠ΅ΡΠ΅ΠΉΠ΄Π΅ΠΌ ΠΊ ΠΎΠΏΠΈΡΠ°Π½ΠΈΡ Π½Π΅ΠΏΠΎΡΡΠ΅Π΄ΡΡΠ²Π΅Π½Π½ΠΎΠ³ΠΎ ΠΏΡΠΈΠΌΠ΅Π½Π΅Π½ΠΈΡ ΠΌΠ΅ΡΠΎΠ΄Π°.
- Π‘Π»Π΅Π²Π° ΠΎΡ ΠΏΠ΅ΡΠ²ΠΎΠ³ΠΎ Π·Π½Π°ΡΠ΅Π½ΠΈΡ x ΡΡΠ°Π²ΠΈΠΌ ΡΠΈΡΡΡ 1. ΠΡΠΎ Π±ΡΠ΄Π΅Ρ ΠΏΡΠΈΠ±Π»ΠΈΠΆΠ΅Π½Π½Π°Ρ Π²Π΅Π»ΠΈΡΠΈΠ½Π° ΠΏΠ΅ΡΠ²ΠΎΠ³ΠΎ Π·Π½Π°ΡΠ΅Π½ΠΈΡ ΠΊΠΎΡΡΡΠΈΡΠΈΠ΅Π½ΡΠ° n.
- Π‘ΠΏΡΠ°Π²Π° ΠΎΡ ΡΡΠΎΠ»Π±ΡΠ° y Π΄ΠΎΠ±Π°Π²Π»ΡΠ΅ΠΌ Π΅ΡΡ ΠΎΠ΄Π½Ρ ΠΊΠΎΠ»ΠΎΠ½ΠΊΡ β nx. Π ΠΏΠ΅ΡΠ²ΡΡ ΡΡΠ΅ΠΉΠΊΡ Π΄Π°Π½Π½ΠΎΠ³ΠΎ ΡΡΠΎΠ»Π±ΡΠ° Π·Π°ΠΏΠΈΡΡΠ²Π°Π΅ΠΌ ΡΠΎΡΠΌΡΠ»Ρ ΡΠΌΠ½ΠΎΠΆΠ΅Π½ΠΈΡ ΠΊΠΎΡΡΡΠΈΡΠΈΠ΅Π½ΡΠ° n Π½Π° ΡΡΠ΅ΠΉΠΊΡ ΠΏΠ΅ΡΠ²ΠΎΠΉ ΠΏΠ΅ΡΠ΅ΠΌΠ΅Π½Π½ΠΎΠΉ x. ΠΡΠΈ ΡΡΠΎΠΌ, ΡΡΡΠ»ΠΊΡ Π½Π° ΠΏΠΎΠ»Π΅ Ρ ΠΊΠΎΡΡΡΠΈΡΠΈΠ΅Π½ΡΠΎΠΌ Π΄Π΅Π»Π°Π΅ΠΌ Π°Π±ΡΠΎΠ»ΡΡΠ½ΠΎΠΉ, ΡΠ°ΠΊ ΠΊΠ°ΠΊ ΡΡΠΎ Π·Π½Π°ΡΠ΅Π½ΠΈΠ΅ ΠΌΠ΅Π½ΡΡΡΡΡ Π½Π΅ Π±ΡΠ΄Π΅Ρ. ΠΠ»ΠΈΠΊΠ°Π΅ΠΌ ΠΏΠΎ ΠΊΠ½ΠΎΠΏΠΊΠ΅ Enter.
- ΠΡΠΏΠΎΠ»ΡΠ·ΡΡ ΠΌΠ°ΡΠΊΠ΅Ρ Π·Π°ΠΏΠΎΠ»Π½Π΅Π½ΠΈΡ, ΠΊΠΎΠΏΠΈΡΡΠ΅ΠΌ Π΄Π°Π½Π½ΡΡ ΡΠΎΡΠΌΡΠ»Ρ Π½Π° Π²Π΅ΡΡ Π΄ΠΈΠ°ΠΏΠ°Π·ΠΎΠ½ ΡΠ°Π±Π»ΠΈΡΡ Π² ΡΡΠΎΠ»Π±ΡΠ΅ Π½ΠΈΠΆΠ΅.
- Π ΠΎΡΠ΄Π΅Π»ΡΠ½ΠΎΠΉ ΡΡΠ΅ΠΉΠΊΠ΅ Π²ΡΡΡΠΈΡΡΠ²Π°Π΅ΠΌ ΡΡΠΌΠΌΡ ΡΠ°Π·Π½ΠΎΡΡΠ΅ΠΉ ΠΊΠ²Π°Π΄ΡΠ°ΡΠΎΠ² Π·Π½Π°ΡΠ΅Π½ΠΈΠΉ y ΠΈ nx. ΠΠ»Ρ ΡΡΠΎΠ³ΠΎ ΠΊΠ»ΠΈΠΊΠ°Π΅ΠΌ ΠΏΠΎ ΠΊΠ½ΠΎΠΏΠΊΠ΅ Β«ΠΡΡΠ°Π²ΠΈΡΡ ΡΡΠ½ΠΊΡΠΈΡΒ».
- Π ΠΎΡΠΊΡΡΠ²ΡΠ΅ΠΌΡΡ Β«ΠΠ°ΡΡΠ΅ΡΠ΅ ΡΡΠ½ΠΊΡΠΈΠΉΒ» ΠΈΡΠ΅ΠΌ Π·Π°ΠΏΠΈΡΡ Β«Π‘Π£ΠΠΠΠΠ ΠΠΠΒ». ΠΡΠ±ΠΈΡΠ°Π΅ΠΌ Π΅Ρ ΠΈ ΠΆΠΌΠ΅ΠΌ Π½Π° ΠΊΠ½ΠΎΠΏΠΊΡ Β«OKΒ».
- ΠΡΠΊΡΡΠ²Π°Π΅ΡΡΡ ΠΎΠΊΠ½ΠΎ Π°ΡΠ³ΡΠΌΠ΅Π½ΡΠΎΠ². Π ΠΏΠΎΠ»Π΅ Β«ΠΠ°ΡΡΠΈΠ²_xΒ» Π²Π²ΠΎΠ΄ΠΈΠΌ Π΄ΠΈΠ°ΠΏΠ°Π·ΠΎΠ½ ΡΡΠ΅Π΅ΠΊ ΡΡΠΎΠ»Π±ΡΠ° y. Π ΠΏΠΎΠ»Π΅ Β«ΠΠ°ΡΡΠΈΠ²_yΒ» Π²Π²ΠΎΠ΄ΠΈΠΌ Π΄ΠΈΠ°ΠΏΠ°Π·ΠΎΠ½ ΡΡΠ΅Π΅ΠΊ ΡΡΠΎΠ»Π±ΡΠ° nx. ΠΠ»Ρ ΡΠΎΠ³ΠΎ, ΡΡΠΎΠ±Ρ Π²Π²Π΅ΡΡΠΈ Π·Π½Π°ΡΠ΅Π½ΠΈΡ, ΠΏΡΠΎΡΡΠΎ ΡΡΡΠ°Π½Π°Π²Π»ΠΈΠ²Π°Π΅ΠΌ ΠΊΡΡΡΠΎΡ Π² ΠΏΠΎΠ»Π΅ ΠΈ Π²ΡΠ΄Π΅Π»ΡΠ΅ΠΌ ΡΠΎΠΎΡΠ²Π΅ΡΡΡΠ²ΡΡΡΠΈΠΉ Π΄ΠΈΠ°ΠΏΠ°Π·ΠΎΠ½ Π½Π° Π»ΠΈΡΡΠ΅. ΠΠΎΡΠ»Π΅ Π²Π²ΠΎΠ΄Π° ΠΆΠΌΠ΅ΠΌ Π½Π° ΠΊΠ½ΠΎΠΏΠΊΡ Β«OKΒ».
- ΠΠ΅ΡΠ΅Ρ ΠΎΠ΄ΠΈΠΌ Π²ΠΎ Π²ΠΊΠ»Π°Π΄ΠΊΡ Β«ΠΠ°Π½Π½ΡΠ΅Β». ΠΠ° Π»Π΅Π½ΡΠ΅ Π² Π±Π»ΠΎΠΊΠ΅ ΠΈΠ½ΡΡΡΡΠΌΠ΅Π½ΡΠΎΠ² Β«ΠΠ½Π°Π»ΠΈΠ·Β» ΠΆΠΌΠ΅ΠΌ Π½Π° ΠΊΠ½ΠΎΠΏΠΊΡ Β«ΠΠΎΠΈΡΠΊ ΡΠ΅ΡΠ΅Π½ΠΈΡΒ».
- ΠΡΠΊΡΡΠ²Π°Π΅ΡΡΡ ΠΎΠΊΠ½ΠΎ ΠΏΠ°ΡΠ°ΠΌΠ΅ΡΡΠΎΠ² Π΄Π°Π½Π½ΠΎΠ³ΠΎ ΠΈΠ½ΡΡΡΡΠΌΠ΅Π½ΡΠ°. Π ΠΏΠΎΠ»Π΅ Β«ΠΠΏΡΠΈΠΌΠΈΠ·ΠΈΡΠΎΠ²Π°ΡΡ ΡΠ΅Π»Π΅Π²ΡΡ ΡΡΠ½ΠΊΡΠΈΡΒ» ΡΠΊΠ°Π·ΡΠ²Π°Π΅ΠΌ Π°Π΄ΡΠ΅Ρ ΡΡΠ΅ΠΉΠΊΠΈ Ρ ΡΠΎΡΠΌΡΠ»ΠΎΠΉ Β«Π‘Π£ΠΠΠΠΠ ΠΠΠΒ». Π ΠΏΠ°ΡΠ°ΠΌΠ΅ΡΡΠ΅ Β«ΠΠΎΒ» ΠΎΠ±ΡΠ·Π°ΡΠ΅Π»ΡΠ½ΠΎ Π²ΡΡΡΠ°Π²Π»ΡΠ΅ΠΌ ΠΏΠ΅ΡΠ΅ΠΊΠ»ΡΡΠ°ΡΠ΅Π»Ρ Π² ΠΏΠΎΠ·ΠΈΡΠΈΡ Β«ΠΠΈΠ½ΠΈΠΌΡΠΌΒ». Π ΠΏΠΎΠ»Π΅ Β«ΠΠ·ΠΌΠ΅Π½ΡΡ ΡΡΠ΅ΠΉΠΊΠΈΒ» ΡΠΊΠ°Π·ΡΠ²Π°Π΅ΠΌ Π°Π΄ΡΠ΅Ρ ΡΠΎ Π·Π½Π°ΡΠ΅Π½ΠΈΠ΅ΠΌ ΠΊΠΎΡΡΡΠΈΡΠΈΠ΅Π½ΡΠ° n. ΠΠΌΠ΅ΠΌ Π½Π° ΠΊΠ½ΠΎΠΏΠΊΡ Β«ΠΠ°ΠΉΡΠΈ ΡΠ΅ΡΠ΅Π½ΠΈΠ΅Β».
- Π Π΅ΡΠ΅Π½ΠΈΠ΅ Π±ΡΠ΄Π΅Ρ ΠΎΡΠΎΠ±ΡΠ°ΠΆΠ°ΡΡΡΡ Π² ΡΡΠ΅ΠΉΠΊΠ΅ ΠΊΠΎΡΡΡΠΈΡΠΈΠ΅Π½ΡΠ° n. ΠΠΌΠ΅Π½Π½ΠΎ ΡΡΠΎ Π·Π½Π°ΡΠ΅Π½ΠΈΠ΅ Π±ΡΠ΄Π΅Ρ ΡΠ²Π»ΡΡΡΡΡ Π½Π°ΠΈΠΌΠ΅Π½ΡΡΠΈΠΌ ΠΊΠ²Π°Π΄ΡΠ°ΡΠΎΠΌ ΡΡΠ½ΠΊΡΠΈΠΈ. ΠΡΠ»ΠΈ ΡΠ΅Π·ΡΠ»ΡΡΠ°Ρ ΡΠ΄ΠΎΠ²Π»Π΅ΡΠ²ΠΎΡΡΠ΅Ρ ΠΏΠΎΠ»ΡΠ·ΠΎΠ²Π°ΡΠ΅Π»Ρ, ΡΠΎ ΡΠ»Π΅Π΄ΡΠ΅Ρ Π½Π°ΠΆΠ°ΡΡ Π½Π° ΠΊΠ½ΠΎΠΏΠΊΡ Β«OKΒ» Π² Π΄ΠΎΠΏΠΎΠ»Π½ΠΈΡΠ΅Π»ΡΠ½ΠΎΠΌ ΠΎΠΊΠ½Π΅.









ΠΠ°ΠΊ Π²ΠΈΠ΄ΠΈΠΌ, ΠΏΡΠΈΠΌΠ΅Π½Π΅Π½ΠΈΠ΅ ΠΌΠ΅ΡΠΎΠ΄Π° Π½Π°ΠΈΠΌΠ΅Π½ΡΡΠΈΡ ΠΊΠ²Π°Π΄ΡΠ°ΡΠΎΠ² Π΄ΠΎΠ²ΠΎΠ»ΡΠ½ΠΎ ΡΠ»ΠΎΠΆΠ½Π°Ρ ΠΌΠ°ΡΠ΅ΠΌΠ°ΡΠΈΡΠ΅ΡΠΊΠ°Ρ ΠΏΡΠΎΡΠ΅Π΄ΡΡΠ°. ΠΡ ΠΏΠΎΠΊΠ°Π·Π°Π»ΠΈ Π΅Ρ Π² Π΄Π΅ΠΉΡΡΠ²ΠΈΠΈ Π½Π° ΠΏΡΠΎΡΡΠ΅ΠΉΡΠ΅ΠΌ ΠΏΡΠΈΠΌΠ΅ΡΠ΅, Π° ΡΡΡΠ΅ΡΡΠ²ΡΡΡ Π³ΠΎΡΠ°Π·Π΄ΠΎ Π±ΠΎΠ»Π΅Π΅ ΡΠ»ΠΎΠΆΠ½ΡΠ΅ ΡΠ»ΡΡΠ°ΠΈ. ΠΠΏΡΠΎΡΠ΅ΠΌ, ΠΈΠ½ΡΡΡΡΠΌΠ΅Π½ΡΠ°ΡΠΈΠΉ Microsoft Excel ΠΏΡΠΈΠ·Π²Π°Π½ ΠΌΠ°ΠΊΡΠΈΠΌΠ°Π»ΡΠ½ΠΎ ΡΠΏΡΠΎΡΡΠΈΡΡ ΠΏΡΠΎΠΈΠ·Π²ΠΎΠ΄ΠΈΠΌΡΠ΅ Π²ΡΡΠΈΡΠ»Π΅Π½ΠΈΡ.
ΠΡ ΡΠ°Π΄Ρ, ΡΡΠΎ ΡΠΌΠΎΠ³Π»ΠΈ ΠΏΠΎΠΌΠΎΡΡ ΠΠ°ΠΌ Π² ΡΠ΅ΡΠ΅Π½ΠΈΠΈ ΠΏΡΠΎΠ±Π»Π΅ΠΌΡ.ΠΠΏΠΈΡΠΈΡΠ΅, ΡΡΠΎ Ρ Π²Π°Ρ Π½Π΅ ΠΏΠΎΠ»ΡΡΠΈΠ»ΠΎΡΡ. ΠΠ°ΡΠΈ ΡΠΏΠ΅ΡΠΈΠ°Π»ΠΈΡΡΡ ΠΏΠΎΡΡΠ°ΡΠ°ΡΡΡΡ ΠΎΡΠ²Π΅ΡΠΈΡΡ ΠΌΠ°ΠΊΡΠΈΠΌΠ°Π»ΡΠ½ΠΎ Π±ΡΡΡΡΠΎ.
ΠΠΎΠΌΠΎΠ³Π»Π° Π»ΠΈ Π²Π°ΠΌ ΡΡΠ° ΡΡΠ°ΡΡΡ?
ΠΠ ΠΠΠ’lumpics.ru
ΠΠΎΠ΄Π΅Π»ΠΈΡΠΎΠ²Π°Π½ΠΈΠ΅ Π² ΡΠ»Π΅ΠΊΡΡΠΎΡΠ½Π΅ΡΠ³Π΅ΡΠΈΠΊΠ΅ — ΠΠΏΠΏΡΠΎΠΊΡΠΈΠΌΠ°ΡΠΈΡ ΠΎΠΏΡΡΠ½ΡΡ Π΄Π°Π½Π½ΡΡ . ΠΠ΅ΡΠΎΠ΄ Π½Π°ΠΈΠΌΠ΅Π½ΡΡΠΈΡ ΠΊΠ²Π°Π΄ΡΠ°ΡΠΎΠ²
ΠΠΏΠΏΡΠΎΠΊΡΠΈΠΌΠ°ΡΠΈΡ ΠΎΠΏΡΡΠ½ΡΡ Π΄Π°Π½Π½ΡΡ . ΠΠ΅ΡΠΎΠ΄ Π½Π°ΠΈΠΌΠ΅Π½ΡΡΠΈΡ ΠΊΠ²Π°Π΄ΡΠ°ΡΠΎΠ²
Β
ΠΠΏΠΏΡΠΎΠΊΡΠΈΠΌΠ°ΡΠΈΡ ΠΎΠΏΡΡΠ½ΡΡ Π΄Π°Π½Π½ΡΡ β ΡΡΠΎ ΠΌΠ΅ΡΠΎΠ΄, ΠΎΡΠ½ΠΎΠ²Π°Π½Π½ΡΠΉ Π½Π° Π·Π°ΠΌΠ΅Π½Π΅ ΡΠΊΡΠΏΠ΅ΡΠΈΠΌΠ΅Π½ΡΠ°Π»ΡΠ½ΠΎ ΠΏΠΎΠ»ΡΡΠ΅Π½Π½ΡΡ Π΄Π°Π½Π½ΡΡ Π°Π½Π°Π»ΠΈΡΠΈΡΠ΅ΡΠΊΠΎΠΉ ΡΡΠ½ΠΊΡΠΈΠ΅ΠΉΒ Π½Π°ΠΈΠ±ΠΎΠ»Π΅Π΅ Π±Π»ΠΈΠ·ΠΊΠΎ ΠΏΡΠΎΡ ΠΎΠ΄ΡΡΠ΅ΠΉ ΠΈΠ»ΠΈ ΡΠΎΠ²ΠΏΠ°Π΄Π°ΡΡΠ΅ΠΉ Π² ΡΠ·Π»ΠΎΠ²ΡΡ ΡΠΎΡΠΊΠ°Ρ Ρ ΠΈΡΡ ΠΎΠ΄Π½ΡΠΌΠΈ Π·Π½Π°ΡΠ΅Π½ΠΈΡΠΌΠΈ (Π΄Π°Π½Π½ΡΠΌΠΈ ΠΏΠΎΠ»ΡΡΠ΅Π½Π½ΡΠΌΠΈ Π² Ρ ΠΎΠ΄Π΅ ΠΎΠΏΡΡΠ° ΠΈΠ»ΠΈ ΡΠΊΡΠΏΠ΅ΡΠΈΠΌΠ΅Π½ΡΠ°). Π Π½Π°ΡΡΠΎΡΡΠ΅Π΅ Π²ΡΠ΅ΠΌΡ ΡΡΡΠ΅ΡΡΠ²ΡΠ΅Ρ Π΄Π²Π° ΡΠΏΠΎΡΠΎΠ±Π° ΠΎΠΏΡΠ΅Π΄Π΅Π»Π΅Π½ΠΈΡ Π°Π½Π°Π»ΠΈΡΠΈΡΠ΅ΡΠΊΠΎΠΉ ΡΡΠ½ΠΊΡΠΈΠΈ:
— Ρ ΠΏΠΎΠΌΠΎΡΡΡ ΠΏΠΎΡΡΡΠΎΠ΅Π½ΠΈΡ ΠΈΠ½ΡΠ΅ΡΠΏΠΎΠ»ΡΡΠΈΠΎΠ½Π½ΠΎΠ³ΠΎ ΠΌΠ½ΠΎΠ³ΠΎΡΠ»Π΅Π½Π° n-ΡΡΠ΅ΠΏΠ΅Π½ΠΈ, ΠΊΠΎΡΠΎΡΡΠΉ ΠΏΡΠΎΡ ΠΎΠ΄ΠΈΡΒ Π½Π΅ΠΏΠΎΡΡΠ΅Π΄ΡΡΠ²Π΅Π½Π½ΠΎ ΡΠ΅ΡΠ΅Π· Π²ΡΠ΅ ΡΠΎΡΠΊΠΈΒ Π·Π°Π΄Π°Π½Π½ΠΎΠ³ΠΎ ΠΌΠ°ΡΡΠΈΠ²Π° Π΄Π°Π½Π½ΡΡ . Π Π΄Π°Π½Π½ΠΎΠΌ ΡΠ»ΡΡΠ°Π΅ Π°ΠΏΠΏΡΠΎΠΊΡΠΈΠΌΠΈΡΡΡΡΠ°Ρ ΡΡΠ½ΠΊΡΠΈΡ ΠΏΡΠ΅Π΄ΡΡΠ°Π²Π»ΡΠ΅ΡΡΡ Π² Π²ΠΈΠ΄Π΅: ΠΈΠ½ΡΠ΅ΡΠΏΠΎΠ»ΡΡΠΈΠΎΠ½Π½ΠΎΠ³ΠΎ ΠΌΠ½ΠΎΠ³ΠΎΡΠ»Π΅Π½Π° Π² ΡΠΎΡΠΌΠ΅ ΠΠ°Π³ΡΠ°Π½ΠΆΠ° ΠΈΠ»ΠΈ Β ΠΈΠ½ΡΠ΅ΡΠΏΠΎΠ»ΡΡΠΈΠΎΠ½Π½ΠΎΠ³ΠΎ ΠΌΠ½ΠΎΠ³ΠΎΡΠ»Π΅Π½Π° Π² ΡΠΎΡΠΌΠ΅ ΠΡΡΡΠΎΠ½Π°.
— Ρ ΠΏΠΎΠΌΠΎΡΡΡ ΠΏΠΎΡΡΡΠΎΠ΅Π½ΠΈΡ Π°ΠΏΠΏΡΠΎΠΊΡΠΈΠΌΠΈΡΡΡΡΠ΅Π³ΠΎ ΠΌΠ½ΠΎΠ³ΠΎΡΠ»Π΅Π½Π° n-ΡΡΠ΅ΠΏΠ΅Π½ΠΈ, ΠΊΠΎΡΠΎΡΡΠΉ ΠΏΡΠΎΡ ΠΎΠ΄ΠΈΡΒ Π² Π±Π»ΠΈΠΆΠ°ΠΉΡΠ΅ΠΉ Π±Π»ΠΈΠ·ΠΎΡΡΠΈ ΠΎΡ ΡΠΎΡΠ΅ΠΊΒ ΠΈΠ· Π·Π°Π΄Π°Π½Π½ΠΎΠ³ΠΎ ΠΌΠ°ΡΡΠΈΠ²Π° Π΄Π°Π½Π½ΡΡ . Π’Π°ΠΊΠΈΠΌ ΠΎΠ±ΡΠ°Π·ΠΎΠΌ, Π°ΠΏΠΏΡΠΎΠΊΡΠΈΠΌΠΈΡΡΡΡΠ°Ρ ΡΡΠ½ΠΊΡΠΈΡ ΡΠ³Π»Π°ΠΆΠΈΠ²Π°Π΅Ρ Π²ΡΠ΅ ΡΠ»ΡΡΠ°ΠΉΠ½ΡΠ΅ ΠΏΠΎΠΌΠ΅Ρ ΠΈ (ΠΈΠ»ΠΈ ΠΏΠΎΠ³ΡΠ΅ΡΠ½ΠΎΡΡΠΈ), ΠΊΠΎΡΠΎΡΡΠ΅ ΠΌΠΎΠ³ΡΡ Π²ΠΎΠ·Π½ΠΈΠΊΠ°ΡΡ ΠΏΡΠΈ Π²ΡΠΏΠΎΠ»Π½Π΅Π½ΠΈΠΈ ΡΠΊΡΠΏΠ΅ΡΠΈΠΌΠ΅Π½ΡΠ°: ΠΈΠ·ΠΌΠ΅ΡΡΠ΅ΠΌΡΠ΅ Π·Π½Π°ΡΠ΅Π½ΠΈΡ Π² Ρ ΠΎΠ΄Π΅ ΠΎΠΏΡΡΠ° Π·Π°Π²ΠΈΡΡΡ ΠΎΡ ΡΠ»ΡΡΠ°ΠΉΠ½ΡΡ ΡΠ°ΠΊΡΠΎΡΠΎΠ², ΠΊΠΎΡΠΎΡΡΠ΅ ΠΊΠΎΠ»Π΅Π±Π»ΡΡΡΡ ΠΏΠΎ ΡΠ²ΠΎΠΈΠΌ ΡΠΎΠ±ΡΡΠ²Π΅Π½Π½ΡΠΌ ΡΠ»ΡΡΠ°ΠΉΠ½ΡΠΌ Π·Π°ΠΊΠΎΠ½Π°ΠΌ (ΠΏΠΎΠ³ΡΠ΅ΡΠ½ΠΎΡΡΠΈ ΠΈΠ·ΠΌΠ΅ΡΠ΅Π½ΠΈΠΉ ΠΈΠ»ΠΈ ΠΏΡΠΈΠ±ΠΎΡΠΎΠ², Π½Π΅ΡΠΎΡΠ½ΠΎΡΡΡ ΠΈΠ»ΠΈ ΠΎΡΠΈΠ±ΠΊΠΈ ΠΎΠΏΡΡΠ°). Π Π΄Π°Π½Π½ΠΎΠΌ ΡΠ»ΡΡΠ°Π΅ Π°ΠΏΠΏΡΠΎΠΊΡΠΈΠΌΠΈΡΡΡΡΠ°Ρ ΡΡΠ½ΠΊΡΠΈΡ ΠΎΠΏΡΠ΅Π΄Π΅Π»ΡΠ΅ΡΡΡ ΠΏΠΎ ΠΌΠ΅ΡΠΎΠ΄Ρ Π½Π°ΠΈΠΌΠ΅Π½ΡΡΠΈΡ ΠΊΠ²Π°Π΄ΡΠ°ΡΠΎΠ².
ΠΠ΅ΡΠΎΠ΄ Π½Π°ΠΈΠΌΠ΅Π½ΡΡΠΈΡ ΠΊΠ²Π°Π΄ΡΠ°ΡΠΎΠ²Β (Π² Π°Π½Π³Π»ΠΎΡΠ·ΡΡΠ½ΠΎΠΉ Π»ΠΈΡΠ΅ΡΠ°ΡΡΡΠ΅Β OrdinaryΒ LeastΒ Squares,Β OLS) — ΠΌΠ°ΡΠ΅ΠΌΠ°ΡΠΈΡΠ΅ΡΠΊΠΈΠΉ ΠΌΠ΅ΡΠΎΠ΄, ΠΎΡΠ½ΠΎΠ²Π°Π½Π½ΡΠΉ Π½Π° ΠΎΠΏΡΠ΅Π΄Π΅Π»Π΅Π½ΠΈΠΈΒ Π°ΠΏΠΏΡΠΎΠΊΡΠΈΠΌΠΈΡΡΡΡΠ΅ΠΉ ΡΡΠ½ΠΊΡΠΈΠΈ, ΠΊΠΎΡΠΎΡΠ°Ρ ΡΡΡΠΎΠΈΡΡΡΒ Π² Π±Π»ΠΈΠΆΠ°ΠΉΡΠ΅ΠΉ Π±Π»ΠΈΠ·ΠΎΡΡΠΈ ΠΎΡ ΡΠΎΡΠ΅ΠΊ ΠΈΠ· Π·Π°Π΄Π°Π½Π½ΠΎΠ³ΠΎ ΠΌΠ°ΡΡΠΈΠ²Π°Β ΡΠΊΡΠΏΠ΅ΡΠΈΠΌΠ΅Π½ΡΠ°Π»ΡΠ½ΡΡ Π΄Π°Π½Π½ΡΡ . ΠΠ»ΠΈΠ·ΠΎΡΡΡ ΠΈΡΡ ΠΎΠ΄Π½ΠΎΠΉ ΠΈ Π°ΠΏΠΏΡΠΎΠΊΡΠΈΠΌΠΈΡΡΡΡΠ΅ΠΉ ΡΡΠ½ΠΊΡΠΈΠΈ F(x) ΠΎΠΏΡΠ΅Π΄Π΅Π»ΡΠ΅ΡΡΡ ΡΠΈΡΠ»ΠΎΠ²ΠΎΠΉ ΠΌΠ΅ΡΠΎΠΉ, Π° ΠΈΠΌΠ΅Π½Π½ΠΎ: ΡΡΠΌΠΌΠ° ΠΊΠ²Π°Π΄ΡΠ°ΡΠΎΠ² ΠΎΡΠΊΠ»ΠΎΠ½Π΅Π½ΠΈΠΉ ΡΠΊΡΠΏΠ΅ΡΠΈΠΌΠ΅Π½ΡΠ°Π»ΡΠ½ΡΡ Π΄Π°Π½Π½ΡΡ ΠΎΡ Π°ΠΏΠΏΡΠΎΠΊΡΠΈΠΌΠΈΡΡΡΡΠ΅ΠΉ ΠΊΡΠΈΠ²ΠΎΠΉ F(x) Π΄ΠΎΠ»ΠΆΠ½Π° Π±ΡΡΡ Π½Π°ΠΈΠΌΠ΅Π½ΡΡΠ΅ΠΉ.

Π ΠΈΡ.1.Β ΠΠΏΠΏΡΠΎΠΊΡΠΈΠΌΠΈΡΡΡΡΠ°Ρ ΠΊΡΠΈΠ²Π°Ρ, ΠΏΠΎΡΡΡΠΎΠ΅Π½Π½Π°ΡΒ ΠΏΠΎ ΠΌΠ΅ΡΠΎΠ΄Ρ Π½Π°ΠΈΠΌΠ΅Π½ΡΡΠΈΡ ΠΊΠ²Π°Π΄ΡΠ°ΡΠΎΠ²
ΠΠ΅ΡΠΎΠ΄ Π½Π°ΠΈΠΌΠ΅Π½ΡΡΠΈΡ ΠΊΠ²Π°Π΄ΡΠ°ΡΠΎΠ²Β ΠΈΡΠΏΠΎΠ»ΡΠ·ΡΠ΅ΡΡΡ:
— Π΄Π»Ρ ΡΠ΅ΡΠ΅Π½ΠΈΡ ΠΏΠ΅ΡΠ΅ΠΎΠΏΡΠ΅Π΄Π΅Π»Π΅Π½Π½ΡΡ ΡΠΈΡΡΠ΅ΠΌ ΡΡΠ°Π²Π½Π΅Π½ΠΈΠΉ, ΠΊΠΎΠ³Π΄Π° ΠΊΠΎΠ»ΠΈΡΠ΅ΡΡΠ²ΠΎ ΡΡΠ°Π²Π½Π΅Π½ΠΈΠΉ ΠΏΡΠ΅Π²ΡΡΠ°Π΅Ρ ΠΊΠΎΠ»ΠΈΡΠ΅ΡΡΠ²ΠΎ Π½Π΅ΠΈΠ·Π²Π΅ΡΡΠ½ΡΡ ;
— Π΄Π»Ρ ΠΏΠΎΠΈΡΠΊΠ° ΡΠ΅ΡΠ΅Π½ΠΈΡ Π² ΡΠ»ΡΡΠ°Π΅ ΠΎΠ±ΡΡΠ½ΡΡ (Π½Π΅ ΠΏΠ΅ΡΠ΅ΠΎΠΏΡΠ΅Π΄Π΅Π»Π΅Π½Π½ΡΡ ) Π½Π΅Π»ΠΈΠ½Π΅ΠΉΠ½ΡΡ ΡΠΈΡΡΠ΅ΠΌ ΡΡΠ°Π²Π½Π΅Π½ΠΈΠΉ;
— Π΄Π»Ρ Π°ΠΏΠΏΡΠΎΠΊΡΠΈΠΌΠ°ΡΠΈΠΈ ΡΠΎΡΠ΅ΡΠ½ΡΡ Π·Π½Π°ΡΠ΅Π½ΠΈΠΉ Π½Π΅ΠΊΠΎΡΠΎΡΠΎΠΉΒ Π°ΠΏΠΏΡΠΎΠΊΡΠΈΠΌΠΈΡΡΡΡΠ΅ΠΉΒ ΡΡΠ½ΠΊΡΠΈΠ΅ΠΉ.
ΠΠΏΠΏΡΠΎΠΊΡΠΈΠΌΠΈΡΡΡΡΠ°Ρ ΡΡΠ½ΠΊΡΠΈΡ ΠΏΠΎ ΠΌΠ΅ΡΠΎΠ΄Ρ Π½Π°ΠΈΠΌΠ΅Π½ΡΡΠΈΡ ΠΊΠ²Π°Π΄ΡΠ°ΡΠΎΠ² ΠΎΠΏΡΠ΅Π΄Π΅Π»ΡΠ΅ΡΡΡ ΠΈΠ· ΡΡΠ»ΠΎΠ²ΠΈΡ ΠΌΠΈΠ½ΠΈΠΌΡΠΌΠ° ΡΡΠΌΠΌΡ ΠΊΠ²Π°Π΄ΡΠ°ΡΠΎΠ² ΠΎΡΠΊΠ»ΠΎΠ½Π΅Π½ΠΈΠΉΒ Β ΡΠ°ΡΡΠ΅ΡΠ½ΠΎΠΉ Π°ΠΏΠΏΡΠΎΠΊΡΠΈΠΌΠΈΡΡΡΡΠ΅ΠΉ ΡΡΠ½ΠΊΡΠΈΠΈ ΠΎΡ Π·Π°Π΄Π°Π½Π½ΠΎΠ³ΠΎ ΠΌΠ°ΡΡΠΈΠ²Π° ΡΠΊΡΠΏΠ΅ΡΠΈΠΌΠ΅Π½ΡΠ°Π»ΡΠ½ΡΡ Π΄Π°Π½Π½ΡΡ . ΠΠ°Π½Π½ΡΠΉ ΠΊΡΠΈΡΠ΅ΡΠΈΠΉ ΠΌΠ΅ΡΠΎΠ΄Π° Π½Π°ΠΈΠΌΠ΅Π½ΡΡΠΈΡ ΠΊΠ²Π°Π΄ΡΠ°ΡΠΎΠ² Π·Π°ΠΏΠΈΡΡΠ²Π°Π΅ΡΡΡ Π² Π²ΠΈΠ΄Π΅ ΡΠ»Π΅Π΄ΡΡΡΠ΅Π³ΠΎ Π²ΡΡΠ°ΠΆΠ΅Π½ΠΈΡ:
Β — Π·Π½Π°ΡΠ΅Π½ΠΈΡ ΡΠ°ΡΡΠ΅ΡΠ½ΠΎΠΉ Π°ΠΏΠΏΡΠΎΠΊΡΠΈΠΌΠΈΡΡΡΡΠ΅ΠΉ ΡΡΠ½ΠΊΡΠΈΠΈΒ Π² ΡΠ·Π»ΠΎΠ²ΡΡ ΡΠΎΡΠΊΠ°Ρ Β ,
— Π·Π°Π΄Π°Π½Π½ΡΠΉ ΠΌΠ°ΡΡΠΈΠ² ΡΠΊΡΠΏΠ΅ΡΠΈΠΌΠ΅Π½ΡΠ°Π»ΡΠ½ΡΡ Π΄Π°Π½Π½ΡΡ Π² ΡΠ·Π»ΠΎΠ²ΡΡ ΡΠΎΡΠΊΠ°Ρ Β .
ΠΠ²Π°Π΄ΡΠ°ΡΠΈΡΠ½ΡΠΉ ΠΊΡΠΈΡΠ΅ΡΠΈΠΉ ΠΎΠ±Π»Π°Π΄Π°Π΅Ρ ΡΡΠ΄ΠΎΠΌ «Ρ ΠΎΡΠΎΡΠΈΡ » ΡΠ²ΠΎΠΉΡΡΠ², ΡΠ°ΠΊΠΈΡ , ΠΊΠ°ΠΊ Π΄ΠΈΡΡΠ΅ΡΠ΅Π½ΡΠΈΡΡΠ΅ΠΌΠΎΡΡΡ, ΠΎΠ±Π΅ΡΠΏΠ΅ΡΠ΅Π½ΠΈΠ΅ Π΅Π΄ΠΈΠ½ΡΡΠ²Π΅Π½Π½ΠΎΠ³ΠΎ ΡΠ΅ΡΠ΅Π½ΠΈΡ Π·Π°Π΄Π°ΡΠΈ Π°ΠΏΠΏΡΠΎΠΊΡΠΈΠΌΠ°ΡΠΈΠΈ ΠΏΡΠΈ ΠΏΠΎΠ»ΠΈΠ½ΠΎΠΌΠΈΠ°Π»ΡΠ½ΡΡ Π°ΠΏΠΏΡΠΎΠΊΡΠΈΠΌΠΈΡΡΡΡΠΈΡ ΡΡΠ½ΠΊΡΠΈΡΡ .
Π Π·Π°Π²ΠΈΡΠΈΠΌΠΎΡΡΠΈ ΠΎΡ ΡΡΠ»ΠΎΠ²ΠΈΠΉ Π·Π°Π΄Π°ΡΠΈ Π°ΠΏΠΏΡΠΎΠΊΡΠΈΠΌΠΈΡΡΡΡΠ°Ρ ΡΡΠ½ΠΊΡΠΈΡ ΠΏΡΠ΅Π΄ΡΡΠ°Π²Π»ΡΠ΅Ρ ΡΠΎΠ±ΠΎΠΉ ΠΌΠ½ΠΎΠ³ΠΎΡΠ»Π΅Π½ ΡΡΠ΅ΠΏΠ΅Π½ΠΈ m
Π‘ΡΠ΅ΠΏΠ΅Π½Ρ Π°ΠΏΠΏΡΠΎΠΊΡΠΈΠΌΠΈΡΡΡΡΠ΅ΠΉ ΡΡΠ½ΠΊΡΠΈΠΈΒ Β Π½Π΅ Π·Π°Π²ΠΈΡΠΈΡ ΠΎΡ ΡΠΈΡΠ»Π° ΡΠ·Π»ΠΎΠ²ΡΡ ΡΠΎΡΠ΅ΠΊ, Π½ΠΎ Π΅Π΅ ΡΠ°Π·ΠΌΠ΅ΡΠ½ΠΎΡΡΡ Π΄ΠΎΠ»ΠΆΠ½Π° Π±ΡΡΡ Π²ΡΠ΅Π³Π΄Π° ΠΌΠ΅Π½ΡΡΠ΅ ΡΠ°Π·ΠΌΠ΅ΡΠ½ΠΎΡΡΠΈ (ΠΊΠΎΠ»ΠΈΡΠ΅ΡΡΠ²Π° ΡΠΎΡΠ΅ΠΊ) Π·Π°Π΄Π°Π½Π½ΠΎΠ³ΠΎ ΠΌΠ°ΡΡΠΈΠ²Π° ΡΠΊΡΠΏΠ΅ΡΠΈΠΌΠ΅Π½ΡΠ°Π»ΡΠ½ΡΡ Π΄Π°Π½Π½ΡΡ .
β Β Π ΡΠ»ΡΡΠ°Π΅ Π΅ΡΠ»ΠΈ ΡΡΠ΅ΠΏΠ΅Π½Ρ Π°ΠΏΠΏΡΠΎΠΊΡΠΈΠΌΠΈΡΡΡΡΠ΅ΠΉ ΡΡΠ½ΠΊΡΠΈΠΈ m=1, ΡΠΎ ΠΌΡ Π°ΠΏΠΏΡΠΎΠΊΡΠΈΠΌΠΈΡΡΠ΅ΠΌ ΡΠ°Π±Π»ΠΈΡΠ½ΡΡ ΡΡΠ½ΠΊΡΠΈΡ ΠΏΡΡΠΌΠΎΠΉ Π»ΠΈΠ½ΠΈΠ΅ΠΉ (Π»ΠΈΠ½Π΅ΠΉΠ½Π°Ρ ΡΠ΅Π³ΡΠ΅ΡΡΠΈΡ).
β Β Π ΡΠ»ΡΡΠ°Π΅ Π΅ΡΠ»ΠΈ ΡΡΠ΅ΠΏΠ΅Π½Ρ Π°ΠΏΠΏΡΠΎΠΊΡΠΈΠΌΠΈΡΡΡΡΠ΅ΠΉ ΡΡΠ½ΠΊΡΠΈΠΈ m=2, ΡΠΎ ΠΌΡ Π°ΠΏΠΏΡΠΎΠΊΡΠΈΠΌΠΈΡΡΠ΅ΠΌ ΡΠ°Π±Π»ΠΈΡΠ½ΡΡ ΡΡΠ½ΠΊΡΠΈΡ ΠΊΠ²Π°Π΄ΡΠ°ΡΠΈΡΠ½ΠΎΠΉ ΠΏΠ°ΡΠ°Π±ΠΎΠ»ΠΎΠΉ (ΠΊΠ²Π°Π΄ΡΠ°ΡΠΈΡΠ½Π°Ρ Π°ΠΏΠΏΡΠΎΠΊΡΠΈΠΌΠ°ΡΠΈΡ).
β Β Π ΡΠ»ΡΡΠ°Π΅ Π΅ΡΠ»ΠΈ ΡΡΠ΅ΠΏΠ΅Π½Ρ Π°ΠΏΠΏΡΠΎΠΊΡΠΈΠΌΠΈΡΡΡΡΠ΅ΠΉ ΡΡΠ½ΠΊΡΠΈΠΈ m=3, ΡΠΎ ΠΌΡ Π°ΠΏΠΏΡΠΎΠΊΡΠΈΠΌΠΈΡΡΠ΅ΠΌ ΡΠ°Π±Π»ΠΈΡΠ½ΡΡ ΡΡΠ½ΠΊΡΠΈΡ ΠΊΡΠ±ΠΈΡΠ΅ΡΠΊΠΎΠΉ ΠΏΠ°ΡΠ°Π±ΠΎΠ»ΠΎΠΉ (ΠΊΡΠ±ΠΈΡΠ΅ΡΠΊΠ°Ρ Π°ΠΏΠΏΡΠΎΠΊΡΠΈΠΌΠ°ΡΠΈΡ).
Π ΠΎΠ±ΡΠ΅ΠΌ ΡΠ»ΡΡΠ°Π΅, ΠΊΠΎΠ³Π΄Π° ΡΡΠ΅Π±ΡΠ΅ΡΡΡ ΠΏΠΎΡΡΡΠΎΠΈΡΡ Π°ΠΏΠΏΡΠΎΠΊΡΠΈΠΌΠΈΡΡΡΡΠΈΠΉ ΠΌΠ½ΠΎΠ³ΠΎΡΠ»Π΅Π½ ΡΡΠ΅ΠΏΠ΅Π½ΠΈ m Π΄Π»Ρ Π·Π°Π΄Π°Π½Π½ΡΡ ΡΠ°Π±Π»ΠΈΡΠ½ΡΡ Π·Π½Π°ΡΠ΅Π½ΠΈΠΉ, ΡΡΠ»ΠΎΠ²ΠΈΠ΅ ΠΌΠΈΠ½ΠΈΠΌΡΠΌΠ° ΡΡΠΌΠΌΡ ΠΊΠ²Π°Π΄ΡΠ°ΡΠΎΠ² ΠΎΡΠΊΠ»ΠΎΠ½Π΅Π½ΠΈΠΉ ΠΏΠΎ Π²ΡΠ΅ΠΌ ΡΠ·Π»ΠΎΠ²ΡΠΌ ΡΠΎΡΠΊΠ°ΠΌ ΠΏΠ΅ΡΠ΅ΠΏΠΈΡΡΠ²Π°Π΅ΡΡΡ Π² ΡΠ»Π΅Π΄ΡΡΡΠ΅ΠΌ Π²ΠΈΠ΄Π΅:
Β — ΠΊΠΎΠΎΡΠ΄ΠΈΠ½Π°ΡΡ ΡΠ·Π»ΠΎΠ²ΡΡ ΡΠΎΡΠ΅ΠΊ ΡΠ°Π±Π»ΠΈΡΡ;
Β — Π½Π΅ΠΈΠ·Π²Π΅ΡΡΠ½ΡΠ΅ ΠΊΠΎΡΡΡΠΈΡΠΈΠ΅Π½ΡΡ Π°ΠΏΠΏΡΠΎΠΊΡΠΈΠΌΠΈΡΡΡΡΠ΅Π³ΠΎ ΠΌΠ½ΠΎΠ³ΠΎΡΠ»Π΅Π½Π° ΡΡΠ΅ΠΏΠ΅Π½ΠΈ m;
— ΠΊΠΎΠ»ΠΈΡΠ΅ΡΡΠ²ΠΎ Π·Π°Π΄Π°Π½Π½ΡΡ ΡΠ°Π±Π»ΠΈΡΠ½ΡΡ Π·Π½Π°ΡΠ΅Π½ΠΈΠΉ.
Β Β Β Β Β Β Β Β Β Β Β Β ΠΠ΅ΠΎΠ±Ρ ΠΎΠ΄ΠΈΠΌΡΠΌ ΡΡΠ»ΠΎΠ²ΠΈΠ΅ΠΌ ΡΡΡΠ΅ΡΡΠ²ΠΎΠ²Π°Π½ΠΈΡ ΠΌΠΈΠ½ΠΈΠΌΡΠΌΠ° ΡΡΠ½ΠΊΡΠΈΠΈ ΡΠ²Π»ΡΠ΅ΡΡΡ ΡΠ°Π²Π΅Π½ΡΡΠ²Ρ Π½ΡΠ»Ρ Π΅Π΅ ΡΠ°ΡΡΠ½ΡΡ ΠΏΡΠΎΠΈΠ·Π²ΠΎΠ΄Π½ΡΡ ΠΏΠΎ Π½Π΅ΠΈΠ·Π²Π΅ΡΡΠ½ΡΠΌ ΠΏΠ΅ΡΠ΅ΠΌΠ΅Π½Π½ΡΠΌΒ . Π ΡΠ΅Π·ΡΠ»ΡΡΠ°ΡΠ΅ ΠΏΠΎΠ»ΡΡΠΈΠΌ ΡΠ»Π΅Π΄ΡΡΡΡΡ ΡΠΈΡΡΠ΅ΠΌΡ ΡΡΠ°Π²Π½Π΅Π½ΠΈΠΉ:

ΠΡΠ΅ΠΎΠ±ΡΠ°Π·ΡΠ΅ΠΌ ΠΏΠΎΠ»ΡΡΠ΅Π½Π½ΡΡ Π»ΠΈΠ½Π΅ΠΉΠ½ΡΡ ΡΠΈΡΡΠ΅ΠΌΡ ΡΡΠ°Π²Π½Π΅Π½ΠΈΠΉ: ΡΠ°ΡΠΊΡΠΎΠ΅ΠΌ ΡΠΊΠΎΠ±ΠΊΠΈ ΠΈ ΠΏΠ΅ΡΠ΅Π½Π΅ΡΠ΅ΠΌ ΡΠ²ΠΎΠ±ΠΎΠ΄Π½ΡΠ΅ ΡΠ»Π°Π³Π°Π΅ΠΌΡΠ΅ Π² ΠΏΡΠ°Π²ΡΡ ΡΠ°ΡΡΡ Π²ΡΡΠ°ΠΆΠ΅Π½ΠΈΡ. Π ΡΠ΅Π·ΡΠ»ΡΡΠ°ΡΠ΅ ΠΏΠΎΠ»ΡΡΠ΅Π½Π½Π°Ρ ΡΠΈΡΡΠ΅ΠΌΠ°Β Π»ΠΈΠ½Π΅ΠΉΠ½ΡΡ Π°Π»Π³Π΅Π±ΡΠ°ΠΈΡΠ΅ΡΠΊΠΈΡ Π²ΡΡΠ°ΠΆΠ΅Π½ΠΈΠΉ Π±ΡΠ΄Π΅Ρ Π·Π°ΠΏΠΈΡΡΠ²Π°ΡΡΡΡ Π² ΡΠ»Π΅Π΄ΡΡΡΠ΅ΠΌ Π²ΠΈΠ΄Π΅:

ΠΠ°Π½Π½Π°Ρ ΡΠΈΡΡΠ΅ΠΌΠ° Π»ΠΈΠ½Π΅ΠΉΠ½ΡΡ Π°Π»Π³Π΅Π±ΡΠ°ΠΈΡΠ΅ΡΠΊΠΈΡ Π²ΡΡΠ°ΠΆΠ΅Π½ΠΈΠΉ ΠΌΠΎΠΆΠ΅Ρ Π±ΡΡΡ ΠΏΠ΅ΡΠ΅ΠΏΠΈΡΠ°Π½Π° Π² ΠΌΠ°ΡΡΠΈΡΠ½ΠΎΠΌ Π²ΠΈΠ΄Π΅:

Β
Π ΡΠ΅Π·ΡΠ»ΡΡΠ°ΡΠ΅ Π±ΡΠ»Π° ΠΏΠΎΠ»ΡΡΠ΅Π½Π° ΡΠΈΡΡΠ΅ΠΌΠ° Π»ΠΈΠ½Π΅ΠΉΠ½ΡΡ ΡΡΠ°Π²Π½Π΅Π½ΠΈΠΉ ΡΠ°Π·ΠΌΠ΅ΡΠ½ΠΎΡΡΡΡ m+1, ΠΊΠΎΡΠΎΡΠ°Ρ ΡΠΎΡΡΠΎΠΈΡ ΠΈΠ· m+1 Π½Π΅ΠΈΠ·Π²Π΅ΡΡΠ½ΡΡ . ΠΠ°Π½Π½Π°Ρ ΡΠΈΡΡΠ΅ΠΌΠ° ΠΌΠΎΠΆΠ΅Ρ Π±ΡΡΡ ΡΠ΅ΡΠ΅Π½Π° Ρ ΠΏΠΎΠΌΠΎΡΡΡ Π»ΡΠ±ΠΎΠ³ΠΎ ΠΌΠ΅ΡΠΎΠ΄Π° ΡΠ΅ΡΠ΅Π½ΠΈΡ Π»ΠΈΠ½Π΅ΠΉΠ½ΡΡ Π°Π»Π³Π΅Π±ΡΠ°ΠΈΡΠ΅ΡΠΊΠΈΡ ΡΡΠ°Π²Π½Π΅Π½ΠΈΠΉ (Π½Π°ΠΏΡΠΈΠΌΠ΅Ρ, ΠΌΠ΅ΡΠΎΠ΄ΠΎΠΌ ΠΠ°ΡΡΡΠ°). Π ΡΠ΅Π·ΡΠ»ΡΡΠ°ΡΠ΅ ΡΠ΅ΡΠ΅Π½ΠΈΡ Π±ΡΠ΄ΡΡ Π½Π°ΠΉΠ΄Π΅Π½Ρ Π½Π΅ΠΈΠ·Π²Π΅ΡΡΠ½ΡΠ΅Β ΠΏΠ°ΡΠ°ΠΌΠ΅ΡΡΡ Π°ΠΏΠΏΡΠΎΠΊΡΠΈΠΌΠΈΡΡΡΡΠ΅ΠΉ ΡΡΠ½ΠΊΡΠΈΠΈ, ΠΎΠ±Π΅ΡΠΏΠ΅ΡΠΈΠ²Π°ΡΡΠΈΠ΅ ΠΌΠΈΠ½ΠΈΠΌΠ°Π»ΡΠ½ΡΡ ΡΡΠΌΠΌΡ ΠΊΠ²Π°Π΄ΡΠ°ΡΠΎΠ² ΠΎΡΠΊΠ»ΠΎΠ½Π΅Π½ΠΈΠΉ Π°ΠΏΠΏΡΠΎΠΊΡΠΈΠΌΠΈΡΡΡΡΠ΅ΠΉ ΡΡΠ½ΠΊΡΠΈΠΈ ΠΎΡ ΠΈΡΡ ΠΎΠ΄Π½ΡΡ Π΄Π°Π½Π½ΡΡ , Ρ.Π΅. Π½Π°ΠΈΠ»ΡΡΡΠ΅Π΅ Π²ΠΎΠ·ΠΌΠΎΠΆΠ½ΠΎΠ΅ ΠΊΠ²Π°Π΄ΡΠ°ΡΠΈΡΠ½ΠΎΠ΅ ΠΏΡΠΈΠ±Π»ΠΈΠΆΠ΅Π½ΠΈΠ΅.Β Π‘Π»Π΅Π΄ΡΠ΅Ρ ΠΏΠΎΠΌΠ½ΠΈΡΡ, ΡΡΠΎ ΠΏΡΠΈ ΠΈΠ·ΠΌΠ΅Π½Π΅Π½ΠΈΠΈ Π΄Π°ΠΆΠ΅ ΠΎΠ΄Π½ΠΎΠ³ΠΎ Π·Π½Π°ΡΠ΅Π½ΠΈΡΒ ΠΈΡΡ ΠΎΠ΄Π½ΡΡ Π΄Π°Π½Π½ΡΡ Π²ΡΠ΅ ΠΊΠΎΡΡΡΠΈΡΠΈΠ΅Π½ΡΡ ΠΈΠ·ΠΌΠ΅Π½ΡΡ ΡΠ²ΠΎΠΈ Π·Π½Π°ΡΠ΅Π½ΠΈΡ, ΡΠ°ΠΊ ΠΊΠ°ΠΊ ΠΎΠ½ΠΈ ΠΏΠΎΠ»Π½ΠΎΡΡΡΡ ΠΎΠΏΡΠ΅Π΄Π΅Π»ΡΡΡΡΡ ΠΈΡΡ ΠΎΠ΄Π½ΡΠΌΠΈ Π΄Π°Π½Π½ΡΠΌΠΈ.
Β
ΠΠΏΠΏΡΠΎΠΊΡΠΈΠΌΠ°ΡΠΈΡ ΠΈΡΡ ΠΎΠ΄Π½ΡΡ Π΄Π°Π½Π½ΡΡ Π»ΠΈΠ½Π΅ΠΉΠ½ΠΎΠΉ Π·Π°Π²ΠΈΡΠΈΠΌΠΎΡΡΡΡ
(Π»ΠΈΠ½Π΅ΠΉΠ½Π°Ρ ΡΠ΅Π³ΡΠ΅ΡΡΠΈΡ)
Π ΠΊΠ°ΡΠ΅ΡΡΠ²Π΅ ΠΏΡΠΈΠΌΠ΅ΡΠ°, ΡΠ°ΡΡΠΌΠΎΡΡΠΈΠΌ ΠΌΠ΅ΡΠΎΠ΄ΠΈΠΊΡ ΠΎΠΏΡΠ΅Π΄Π΅Π»Π΅Π½ΠΈΡ Π°ΠΏΠΏΡΠΎΠΊΡΠΈΠΌΠΈΡΡΡΡΠ΅ΠΉ ΡΡΠ½ΠΊΡΠΈΠΈ, ΠΊΠΎΡΠΎΡΠ°Ρ Π·Π°Π΄Π°Π½Π° Π² Π²ΠΈΠ΄Π΅ Π»ΠΈΠ½Π΅ΠΉΠ½ΠΎΠΉ Π·Π°Π²ΠΈΡΠΈΠΌΠΎΡΡΠΈ. Π ΡΠΎΠΎΡΠ²Π΅ΡΡΡΠ²ΠΈΠΈ Ρ ΠΌΠ΅ΡΠΎΠ΄ΠΎΠΌ Π½Π°ΠΈΠΌΠ΅Π½ΡΡΠΈΡ ΠΊΠ²Π°Π΄ΡΠ°ΡΠΎΠ² ΡΡΠ»ΠΎΠ²ΠΈΠ΅ ΠΌΠΈΠ½ΠΈΠΌΡΠΌΠ° ΡΡΠΌΠΌΡ ΠΊΠ²Π°Π΄ΡΠ°ΡΠΎΠ² ΠΎΡΠΊΠ»ΠΎΠ½Π΅Π½ΠΈΠΉ Π·Π°ΠΏΠΈΡΡΠ²Π°Π΅ΡΡΡ Π² ΡΠ»Π΅Π΄ΡΡΡΠ΅ΠΌ Π²ΠΈΠ΄Π΅:
Β — ΠΊΠΎΠΎΡΠ΄ΠΈΠ½Π°ΡΡ ΡΠ·Π»ΠΎΠ²ΡΡ ΡΠΎΡΠ΅ΠΊ ΡΠ°Π±Π»ΠΈΡΡ;
Β — Π½Π΅ΠΈΠ·Π²Π΅ΡΡΠ½ΡΠ΅ ΠΊΠΎΡΡΡΠΈΡΠΈΠ΅Π½ΡΡ Π°ΠΏΠΏΡΠΎΠΊΡΠΈΠΌΠΈΡΡΡΡΠ΅ΠΉ ΡΡΠ½ΠΊΡΠΈΠΈ, ΠΊΠΎΡΠΎΡΠ°Ρ Π·Π°Π΄Π°Π½Π° Π² Π²ΠΈΠ΄Π΅ Π»ΠΈΠ½Π΅ΠΉΠ½ΠΎΠΉ Π·Π°Π²ΠΈΡΠΈΠΌΠΎΡΡΠΈ.
ΠΠ΅ΠΎΠ±Ρ ΠΎΠ΄ΠΈΠΌΡΠΌ ΡΡΠ»ΠΎΠ²ΠΈΠ΅ΠΌ ΡΡΡΠ΅ΡΡΠ²ΠΎΠ²Π°Π½ΠΈΡ ΠΌΠΈΠ½ΠΈΠΌΡΠΌΠ° ΡΡΠ½ΠΊΡΠΈΠΈ ΡΠ²Π»ΡΠ΅ΡΡΡ ΡΠ°Π²Π΅Π½ΡΡΠ²Ρ Π½ΡΠ»Ρ Π΅Π΅ ΡΠ°ΡΡΠ½ΡΡ ΠΏΡΠΎΠΈΠ·Π²ΠΎΠ΄Π½ΡΡ ΠΏΠΎ Π½Π΅ΠΈΠ·Π²Π΅ΡΡΠ½ΡΠΌ ΠΏΠ΅ΡΠ΅ΠΌΠ΅Π½Π½ΡΠΌ. Π ΡΠ΅Π·ΡΠ»ΡΡΠ°ΡΠ΅ ΠΏΠΎΠ»ΡΡΠ°Π΅ΠΌ ΡΠ»Π΅Π΄ΡΡΡΡΡ ΡΠΈΡΡΠ΅ΠΌΡ ΡΡΠ°Π²Π½Π΅Π½ΠΈΠΉ:
ΠΡΠ΅ΠΎΠ±ΡΠ°Π·ΡΠ΅ΠΌ ΠΏΠΎΠ»ΡΡΠ΅Π½Π½ΡΡ Π»ΠΈΠ½Π΅ΠΉΠ½ΡΡ ΡΠΈΡΡΠ΅ΠΌΡ ΡΡΠ°Π²Π½Π΅Π½ΠΈΠΉ.
Π Π΅ΡΠ°Π΅ΠΌ ΠΏΠΎΠ»ΡΡΠ΅Π½Π½ΡΡ ΡΠΈΡΡΠ΅ΠΌΡ Π»ΠΈΠ½Π΅ΠΉΠ½ΡΡ ΡΡΠ°Π²Π½Π΅Π½ΠΈΠΉ. ΠΠΎΡΡΡΠΈΡΠΈΠ΅Π½ΡΡ Π°ΠΏΠΏΡΠΎΠΊΡΠΈΠΌΠΈΡΡΡΡΠ΅ΠΉ ΡΡΠ½ΠΊΡΠΈΠΈ Π² Π°Π½Π°Π»ΠΈΡΠΈΡΠ΅ΡΠΊΠΎΠΌ Π²ΠΈΠ΄Π΅ ΠΎΠΏΡΠ΅Π΄Π΅Π»ΡΡΡΡΡ ΡΠ»Π΅Π΄ΡΡΡΠΈΠΌ ΠΎΠ±ΡΠ°Π·ΠΎΠΌ (ΠΌΠ΅ΡΠΎΠ΄ ΠΡΠ°ΠΌΠ΅ΡΠ°):
Β

ΠΠ°Π½Π½ΡΠ΅ ΠΊΠΎΡΡΡΠΈΡΠΈΠ΅Π½ΡΡ ΠΎΠ±Π΅ΡΠΏΠ΅ΡΠΈΠ²Π°ΡΡ ΠΏΠΎΡΡΡΠΎΠ΅Π½ΠΈΠ΅ Π»ΠΈΠ½Π΅ΠΉΠ½ΠΎΠΉ Π°ΠΏΠΏΡΠΎΠΊΡΠΈΠΌΠΈΡΡΡΡΠ΅ΠΉ ΡΡΠ½ΠΊΡΠΈΠΈ Π² ΡΠΎΠΎΡΠ²Π΅ΡΡΡΠ²ΠΈΠΈ Ρ ΠΊΡΠΈΡΠ΅ΡΠΈΠ΅ΠΌ ΠΌΠΈΠ½ΠΈΠΌΠΈΠ·Π°ΡΠΈΠΈ ΡΡΠΌΠΌΡ ΠΊΠ²Π°Π΄ΡΠ°ΡΠΎΠ² Π°ΠΏΠΏΡΠΎΠΊΡΠΈΠΌΠΈΡΡΡΡΠ΅ΠΉ ΡΡΠ½ΠΊΡΠΈΠΈ ΠΎΡ Π·Π°Π΄Π°Π½Π½ΡΡ ΡΠ°Π±Π»ΠΈΡΠ½ΡΡ Π·Π½Π°ΡΠ΅Π½ΠΈΠΉ (ΡΠΊΡΠΏΠ΅ΡΠΈΠΌΠ΅Π½ΡΠ°Π»ΡΠ½ΡΠ΅ Π΄Π°Π½Π½ΡΠ΅).
ΠΠ»Π³ΠΎΡΠΈΡΠΌ ΡΠ΅Π°Π»ΠΈΠ·Π°ΡΠΈΠΈ ΠΌΠ΅ΡΠΎΠ΄Π° Π½Π°ΠΈΠΌΠ΅Π½ΡΡΠΈΡ ΠΊΠ²Π°Π΄ΡΠ°ΡΠΎΠ²
1. ΠΠ°ΡΠ°Π»ΡΠ½ΡΠ΅ Π΄Π°Π½Π½ΡΠ΅:
— Π·Π°Π΄Π°Π½ ΠΌΠ°ΡΡΠΈΠ² ΡΠΊΡΠΏΠ΅ΡΠΈΠΌΠ΅Π½ΡΠ°Π»ΡΠ½ΡΡ Π΄Π°Π½Π½ΡΡ Β Β Ρ ΠΊΠΎΠ»ΠΈΡΠ΅ΡΡΠ²ΠΎΠΌ ΠΈΠ·ΠΌΠ΅ΡΠ΅Π½ΠΈΠΉ N
— Π·Π°Π΄Π°Π½Π° ΡΡΠ΅ΠΏΠ΅Π½Ρ Π°ΠΏΠΏΡΠΎΠΊΡΠΈΠΌΠΈΡΡΡΡΠ΅Π³ΠΎ ΠΌΠ½ΠΎΠ³ΠΎΡΠ»Π΅Π½Π° (m)
2. ΠΠ»Π³ΠΎΡΠΈΡΠΌ Π²ΡΡΠΈΡΠ»Π΅Π½ΠΈΡ:
2.1. ΠΠΏΡΠ΅Π΄Π΅Π»ΡΡΡΡΡ ΠΊΠΎΡΡΡΠΈΡΠΈΠ΅Π½ΡΡ Π΄Π»Ρ ΠΏΠΎΡΡΡΠΎΠ΅Π½ΠΈΡ ΡΠΈΡΡΠ΅ΠΌΡ ΡΡΠ°Π²Π½Π΅Π½ΠΈΠΉ ΡΠ°Π·ΠΌΠ΅ΡΠ½ΠΎΡΡΡΡΒ
Β — ΠΊΠΎΡΡΡΠΈΡΠΈΠ΅Π½ΡΡ ΡΠΈΡΡΠ΅ΠΌΡ ΡΡΠ°Π²Π½Π΅Π½ΠΈΠΉ (Π»Π΅Π²Π°Ρ ΡΠ°ΡΡΡ ΡΡΠ°Π²Π½Π΅Π½ΠΈΡ)
Β — ΠΈΠ½Π΄Π΅ΠΊΡ Π½ΠΎΠΌΠ΅ΡΠ° ΡΡΡΠΎΠΊΠΈ ΠΊΠ²Π°Π΄ΡΠ°ΡΠ½ΠΎΠΉ ΠΌΠ°ΡΡΠΈΡΡ ΡΠΈΡΡΠ΅ΠΌΡ ΡΡΠ°Π²Π½Π΅Π½ΠΈΠΉ
Β — ΠΈΠ½Π΄Π΅ΠΊΡ Π½ΠΎΠΌΠ΅ΡΠ° ΡΡΠΎΠ»Π±ΡΠ° ΠΊΠ²Π°Π΄ΡΠ°ΡΠ½ΠΎΠΉ ΠΌΠ°ΡΡΠΈΡΡ ΡΠΈΡΡΠ΅ΠΌΡ ΡΡΠ°Π²Π½Π΅Π½ΠΈΠΉ
— ΡΠ²ΠΎΠ±ΠΎΠ΄Π½ΡΠ΅ ΡΠ»Π΅Π½Ρ ΡΠΈΡΡΠ΅ΠΌΡ Π»ΠΈΠ½Π΅ΠΉΠ½ΡΡ ΡΡΠ°Π²Π½Π΅Π½ΠΈΠΉ (ΠΏΡΠ°Π²Π°Ρ ΡΠ°ΡΡΡ ΡΡΠ°Π²Π½Π΅Π½ΠΈΡ)
Β — ΠΈΠ½Π΄Π΅ΠΊΡ Π½ΠΎΠΌΠ΅ΡΠ° ΡΡΡΠΎΠΊΠΈ ΠΊΠ²Π°Π΄ΡΠ°ΡΠ½ΠΎΠΉ ΠΌΠ°ΡΡΠΈΡΡ ΡΠΈΡΡΠ΅ΠΌΡ ΡΡΠ°Π²Π½Π΅Π½ΠΈΠΉ
2.2. Π€ΠΎΡΠΌΠΈΡΠΎΠ²Π°Π½ΠΈΠ΅ ΡΠΈΡΡΠ΅ΠΌΡ Π»ΠΈΠ½Π΅ΠΉΠ½ΡΡ ΡΡΠ°Π²Π½Π΅Π½ΠΈΠΉ ΡΠ°Π·ΠΌΠ΅ΡΠ½ΠΎΡΡΡΡΒ .
2.3. Π Π΅ΡΠ΅Π½ΠΈΠ΅ ΡΠΈΡΡΠ΅ΠΌΡ Π»ΠΈΠ½Π΅ΠΉΠ½ΡΡ ΡΡΠ°Π²Π½Π΅Π½ΠΈΠΉ Ρ ΡΠ΅Π»ΡΡ ΠΎΠΏΡΠ΅Π΄Π΅Π»Π΅Π½ΠΈΡ Π½Π΅ΠΈΠ·Π²Π΅ΡΡΠ½ΡΡ ΠΊΠΎΡΡΡΠΈΡΠΈΠ΅Π½ΡΠΎΠ² Π°ΠΏΠΏΡΠΎΠΊΡΠΈΠΌΠΈΡΡΡΡΠ΅Π³ΠΎ ΠΌΠ½ΠΎΠ³ΠΎΡΠ»Π΅Π½Π° ΡΡΠ΅ΠΏΠ΅Π½ΠΈ m.
2.4.ΠΠΏΡΠ΅Π΄Π΅Π»Π΅Π½ΠΈΠ΅ ΡΡΠΌΠΌΡ ΠΊΠ²Π°Π΄ΡΠ°ΡΠΎΠ² ΠΎΡΠΊΠ»ΠΎΠ½Π΅Π½ΠΈΠΉ Π°ΠΏΠΏΡΠΎΠΊΡΠΈΠΌΠΈΡΡΡΡΠ΅Π³ΠΎ ΠΌΠ½ΠΎΠ³ΠΎΡΠ»Π΅Π½Π° ΠΎΡ ΠΈΡΡ ΠΎΠ΄Π½ΡΡ Π·Π½Π°ΡΠ΅Π½ΠΈΠΉ ΠΏΠΎ Π²ΡΠ΅ΠΌ ΡΠ·Π»ΠΎΠ²ΡΠΌ ΡΠΎΡΠΊΠ°ΠΌ
ΠΠ°ΠΉΠ΄Π΅Π½Π½ΠΎΠ΅ Π·Π½Π°ΡΠ΅Π½ΠΈΠ΅ ΡΡΠΌΠΌΡ ΠΊΠ²Π°Π΄ΡΠ°ΡΠΎΠ² ΠΎΡΠΊΠ»ΠΎΠ½Π΅Π½ΠΈΠΉ ΡΠ²Π»ΡΠ΅ΡΡΡ ΠΌΠΈΠ½ΠΈΠΌΠ°Π»ΡΠ½ΠΎ-Π²ΠΎΠ·ΠΌΠΎΠΆΠ½ΡΠΌ.
Β ΠΠΏΠΏΡΠΎΠΊΡΠΈΠΌΠ°ΡΠΈΡ Ρ ΠΏΠΎΠΌΠΎΡΡΡ Π΄ΡΡΠ³ΠΈΡ ΡΡΠ½ΠΊΡΠΈΠΉ
Π‘Π»Π΅Π΄ΡΠ΅Ρ ΠΎΡΠΌΠ΅ΡΠΈΡΡ, ΡΡΠΎ ΠΏΡΠΈ Π°ΠΏΠΏΡΠΎΠΊΡΠΈΠΌΠ°ΡΠΈΠΈ ΠΈΡΡ ΠΎΠ΄Π½ΡΡ Π΄Π°Π½Π½ΡΡ Π² ΡΠΎΠΎΡΠ²Π΅ΡΡΡΠ²ΠΈΠΈ Ρ ΠΌΠ΅ΡΠΎΠ΄ΠΎΠΌ Π½Π°ΠΈΠΌΠ΅Π½ΡΡΠΈΡ ΠΊΠ²Π°Π΄ΡΠ°ΡΠΎΠ² Π² ΠΊΠ°ΡΠ΅ΡΡΠ²Π΅ Β Π°ΠΏΠΏΡΠΎΠΊΡΠΈΠΌΠΈΡΡΡΡΠ΅ΠΉ ΡΡΠ½ΠΊΡΠΈΠΈ ΠΈΠ½ΠΎΠ³Π΄Π° ΠΈΡΠΏΠΎΠ»ΡΠ·ΡΡΡΒ Π»ΠΎΠ³Π°ΡΠΈΡΠΌΠΈΡΠ΅ΡΠΊΡΡ ΡΡΠ½ΠΊΡΠΈΡ, ΡΠΊΡΠΏΠΎΠ½Π΅Π½ΡΠΈΠ°Π»ΡΠ½ΡΡ ΡΡΠ½ΠΊΡΠΈΡ ΠΈ ΡΡΠ΅ΠΏΠ΅Π½Π½ΡΡ ΡΡΠ½ΠΊΡΠΈΡ.
ΠΠΎΠ³Π°ΡΠΈΡΠΌΠΈΡΠ΅ΡΠΊΠ°Ρ Π°ΠΏΠΏΡΠΎΠΊΡΠΈΠΌΠ°ΡΠΈΡ
Π Π°ΡΡΠΌΠΎΡΡΠΈΠΌ ΡΠ»ΡΡΠ°ΠΉ, ΠΊΠΎΠ³Π΄Π° Π°ΠΏΠΏΡΠΎΠΊΡΠΈΠΌΠΈΡΡΡΡΠ°Ρ ΡΡΠ½ΠΊΡΠΈΡ Π·Π°Π΄Π°Π½Π° Π»ΠΎΠ³Π°ΡΠΈΡΠΌΠΈΡΠ΅ΡΠΊΠΎΠΉ ΡΡΠ½ΠΊΡΠΈΠ΅ΠΉ Π²ΠΈΠ΄Π°:Β
ΠΠΎΠΈΡΠΊ Π½Π΅ΠΈΠ·Π²Π΅ΡΡΠ½ΡΡ ΠΊΠΎΡΡΡΠΈΡΠΈΠ΅Π½ΡΠΎΠ² ΠΎΡΡΡΠ΅ΡΡΠ²Π»ΡΠ΅ΡΡΡ ΠΏΠΎ ΠΌΠ΅ΡΠΎΠ΄Ρ Π½Π°ΠΈΠΌΠ΅Π½ΡΡΠΈΡ ΠΊΠ²Π°Π΄ΡΠ°ΡΠΎΠ² Π² ΡΠΎΠΎΡΠ²Π΅ΡΡΡΠ²ΠΈΠΈ ΡΠΎ ΡΠ»Π΅Π΄ΡΡΡΠ΅ΠΉ ΡΠΈΡΡΠ΅ΠΌΠΎΠΉ ΡΡΠ°Π²Π½Π΅Π½ΠΈΠΉ.
Π Π΅ΡΠ°Π΅ΠΌ ΠΏΠΎΠ»ΡΡΠ΅Π½Π½ΡΡ ΡΠΈΡΡΠ΅ΠΌΡ Π»ΠΈΠ½Π΅ΠΉΠ½ΡΡ ΡΡΠ°Π²Π½Π΅Π½ΠΈΠΉ. ΠΠΎΡΡΡΠΈΡΠΈΠ΅Π½ΡΡ Π°ΠΏΠΏΡΠΎΠΊΡΠΈΠΌΠΈΡΡΡΡΠ΅ΠΉ ΡΡΠ½ΠΊΡΠΈΠΈ Π² Π°Π½Π°Π»ΠΈΡΠΈΡΠ΅ΡΠΊΠΎΠΌ Π²ΠΈΠ΄Π΅ ΠΎΠΏΡΠ΅Π΄Π΅Π»ΡΡΡΡΡ ΡΠ»Π΅Π΄ΡΡΡΠΈΠΌ ΠΎΠ±ΡΠ°Π·ΠΎΠΌ:

ΠΠΊΡΠΏΠΎΠ½Π΅Π½ΡΠΈΠ°Π»ΡΠ½Π°Ρ Π°ΠΏΠΏΡΠΎΠΊΡΠΈΠΌΠ°ΡΠΈΡ
Π Π°ΡΡΠΌΠΎΡΡΠΈΠΌ ΡΠ»ΡΡΠ°ΠΉ, ΠΊΠΎΠ³Π΄Π° Π°ΠΏΠΏΡΠΎΠΊΡΠΈΠΌΠΈΡΡΡΡΠ°Ρ ΡΡΠ½ΠΊΡΠΈΡ Π·Π°Π΄Π°Π½Π° ΡΠΊΡΠΏΠΎΠ½Π΅Π½ΡΠΈΠ°Π»ΡΠ½ΠΎΠΉ ΡΡΠ½ΠΊΡΠΈΠ΅ΠΉ Π²ΠΈΠ΄Π°:Β
ΠΠ»Ρ ΠΏΡΠΈΠΌΠ΅Π½Π΅Π½ΠΈΡ ΠΌΠ΅ΡΠΎΠ΄Π° Π½Π°ΠΈΠΌΠ΅Π½ΡΡΠΈΡ ΠΊΠ²Π°Π΄ΡΠ°ΡΠΎΠ² ΡΠΊΡΠΏΠΎΠ½Π΅Π½ΡΠΈΠ°Π»ΡΠ½Π°Ρ ΡΡΠ½ΠΊΡΠΈΡ Π»ΠΈΠ½Π΅Π°ΡΠΈΠ·ΡΠ΅ΡΡΡ:
ΠΠΎΠΈΡΠΊ Π½Π΅ΠΈΠ·Π²Π΅ΡΡΠ½ΡΡ ΠΊΠΎΡΡΡΠΈΡΠΈΠ΅Π½ΡΠΎΠ² ΠΎΡΡΡΠ΅ΡΡΠ²Π»ΡΠ΅ΡΡΡ ΠΏΠΎ ΠΌΠ΅ΡΠΎΠ΄Ρ Π½Π°ΠΈΠΌΠ΅Π½ΡΡΠΈΡ ΠΊΠ²Π°Π΄ΡΠ°ΡΠΎΠ² Π² ΡΠΎΠΎΡΠ²Π΅ΡΡΡΠ²ΠΈΠΈ ΡΠΎ ΡΠ»Π΅Π΄ΡΡΡΠ΅ΠΉ ΡΠΈΡΡΠ΅ΠΌΠΎΠΉ ΡΡΠ°Π²Π½Π΅Π½ΠΈΠΉ.
Π Π΅ΡΠ°Π΅ΠΌ ΠΏΠΎΠ»ΡΡΠ΅Π½Π½ΡΡ ΡΠΈΡΡΠ΅ΠΌΡ Π»ΠΈΠ½Π΅ΠΉΠ½ΡΡ ΡΡΠ°Π²Π½Π΅Π½ΠΈΠΉ. ΠΠΎΡΡΡΠΈΡΠΈΠ΅Π½ΡΡ Π°ΠΏΠΏΡΠΎΠΊΡΠΈΠΌΠΈΡΡΡΡΠ΅ΠΉ ΡΡΠ½ΠΊΡΠΈΠΈ Π² Π°Π½Π°Π»ΠΈΡΠΈΡΠ΅ΡΠΊΠΎΠΌ Π²ΠΈΠ΄Π΅ ΠΎΠΏΡΠ΅Π΄Π΅Π»ΡΡΡΡΡ ΡΠ»Π΅Π΄ΡΡΡΠΈΠΌ ΠΎΠ±ΡΠ°Π·ΠΎΠΌ:

Π‘ΡΠ΅ΠΏΠ΅Π½Π½Π°Ρ Π°ΠΏΠΏΡΠΎΠΊΡΠΈΠΌΠ°ΡΠΈΡ
Π Π°ΡΡΠΌΠΎΡΡΠΈΠΌ ΡΠ»ΡΡΠ°ΠΉ, ΠΊΠΎΠ³Π΄Π° Π°ΠΏΠΏΡΠΎΠΊΡΠΈΠΌΠΈΡΡΡΡΠ°Ρ ΡΡΠ½ΠΊΡΠΈΡ Π·Π°Π΄Π°Π½Π° ΡΡΠ΅ΠΏΠ΅Π½Π½ΠΎΠΉ ΡΡΠ½ΠΊΡΠΈΠ΅ΠΉ Π²ΠΈΠ΄Π°:Β
ΠΠ»Ρ ΠΏΡΠΈΠΌΠ΅Π½Π΅Π½ΠΈΡ ΠΌΠ΅ΡΠΎΠ΄Π° Π½Π°ΠΈΠΌΠ΅Π½ΡΡΠΈΡ ΠΊΠ²Π°Π΄ΡΠ°ΡΠΎΠ² ΡΡΠ΅ΠΏΠ΅Π½Π½Π°Ρ ΡΡΠ½ΠΊΡΠΈΡ Π»ΠΈΠ½Π΅Π°ΡΠΈΠ·ΡΠ΅ΡΡΡ:
ΠΠΎΠΈΡΠΊ Π½Π΅ΠΈΠ·Π²Π΅ΡΡΠ½ΡΡ ΠΊΠΎΡΡΡΠΈΡΠΈΠ΅Π½ΡΠΎΠ² ΠΎΡΡΡΠ΅ΡΡΠ²Π»ΡΠ΅ΡΡΡ ΠΏΠΎ ΠΌΠ΅ΡΠΎΠ΄Ρ Π½Π°ΠΈΠΌΠ΅Π½ΡΡΠΈΡ ΠΊΠ²Π°Π΄ΡΠ°ΡΠΎΠ² Π² ΡΠΎΠΎΡΠ²Π΅ΡΡΡΠ²ΠΈΠΈ ΡΠΎ ΡΠ»Π΅Π΄ΡΡΡΠ΅ΠΉ ΡΠΈΡΡΠ΅ΠΌΠΎΠΉ ΡΡΠ°Π²Π½Π΅Π½ΠΈΠΉ.
Π Π΅ΡΠ°Π΅ΠΌ ΠΏΠΎΠ»ΡΡΠ΅Π½Π½ΡΡ ΡΠΈΡΡΠ΅ΠΌΡ Π»ΠΈΠ½Π΅ΠΉΠ½ΡΡ ΡΡΠ°Π²Π½Π΅Π½ΠΈΠΉ. ΠΠΎΡΡΡΠΈΡΠΈΠ΅Π½ΡΡ Π°ΠΏΠΏΡΠΎΠΊΡΠΈΠΌΠΈΡΡΡΡΠ΅ΠΉ ΡΡΠ½ΠΊΡΠΈΠΈ Π² Π°Π½Π°Π»ΠΈΡΠΈΡΠ΅ΡΠΊΠΎΠΌ Π²ΠΈΠ΄Π΅ ΠΎΠΏΡΠ΅Π΄Π΅Π»ΡΡΡΡΡ ΡΠ»Π΅Π΄ΡΡΡΠΈΠΌ ΠΎΠ±ΡΠ°Π·ΠΎΠΌ:

ΠΡΠ±ΠΎΡ Π½Π°ΠΈΠ»ΡΡΡΠ΅ΠΉ Π°ΠΏΠΏΡΠΎΠΊΡΠΈΠΌΠΈΡΡΡΡΠ΅ΠΉ ΡΡΠ½ΠΊΡΠΈΠΈ ΠΎΠΏΡΠ΅Π΄Π΅Π»ΡΠ΅ΡΡΡ Π·Π½Π°ΡΠ΅Π½ΠΈΠ΅ΠΌ ΡΡΠ΅Π΄Π½Π΅ΠΊΠ²Π°Π΄ΡΠ°ΡΠΈΡΠ΅ΡΠΊΠΎΠ³ΠΎ ΠΎΡΠΊΠ»ΠΎΠ½Π΅Π½ΠΈΡ. Π ΡΠ²ΡΠ·ΠΈ Ρ ΡΡΠΈΠΌ ΡΠ»Π΅Π΄ΡΠ΅Ρ ΠΏΠΎ ΠΌΠ΅ΡΠΎΠ΄Ρ Π½Π°ΠΈΠΌΠ΅Π½ΡΡΠΈΡ ΠΊΠ²Π°Π΄ΡΠ°ΡΠΎΠ² ΠΎΠΏΡΠ΅Π΄Π΅Π»ΠΈΡΡ Π½Π΅ΡΠΊΠΎΠ»ΡΠΊΠΎ Π°ΠΏΠΏΡΠΎΠΊΡΠΈΠΌΠΈΡΡΡΡΠΈΡ ΡΡΠ½ΠΊΡΠΈΠΉ, Π° Π·Π°ΡΠ΅ΠΌ ΠΏΠΎ ΠΊΡΠΈΡΠ΅ΡΠΈΡ Π½Π°ΠΈΠΌΠ΅Π½ΡΡΠ΅Π³ΠΎ ΡΡΠ΅Π΄Π½Π΅ΠΊΠ²Π°Π΄ΡΠ°ΡΠΈΡΠ΅ΡΠΊΠΎΠ³ΠΎ ΠΎΡΠΊΠ»ΠΎΠ½Π΅Π½ΠΈΡ Π²ΡΠ±ΡΠ°ΡΡ Π½Π°ΠΈΠ±ΠΎΠ»Π΅Π΅ ΠΏΠΎΠ΄Ρ ΠΎΠ΄ΡΡΡΡ ΡΡΠ½ΠΊΡΠΈΡ.
ΠΠ»Ρ ΡΠΎΠ³ΠΎ, ΡΡΠΎΠ±Ρ Π΄ΠΎΠ±Π°Π²ΠΈΡΡ ΠΠ°Ρ ΠΊΠΎΠΌΠΌΠ΅Π½ΡΠ°ΡΠΈΠΉ ΠΊ ΡΡΠ°ΡΡΠ΅, ΠΏΠΎΠΆΠ°Π»ΡΠΉΡΡΠ°, Π·Π°ΡΠ΅Π³ΠΈΡΡΡΠΈΡΡΠΉΡΠ΅ΡΡ Π½Π° ΡΠ°ΠΉΡΠ΅.
simenergy.ru
ΠΠ΅ΡΠΎΠ΄ Π½Π°ΠΈΠΌΠ΅Π½ΡΡΠΈΡ ΠΊΠ²Π°Π΄ΡΠ°ΡΠΎΠ² β ΠΠΈΠΊΠΈΠΏΠ΅Π΄ΠΈΡ
ΠΠ°ΡΠ΅ΡΠΈΠ°Π» ΠΈΠ· ΠΠΈΠΊΠΈΠΏΠ΅Π΄ΠΈΠΈ β ΡΠ²ΠΎΠ±ΠΎΠ΄Π½ΠΎΠΉ ΡΠ½ΡΠΈΠΊΠ»ΠΎΠΏΠ΅Π΄ΠΈΠΈ
ΠΡΠΈΠΌΠ΅Ρ ΠΊΡΠΈΠ²ΠΎΠΉ, ΠΏΡΠΎΠ²Π΅Π΄ΡΠ½Π½ΠΎΠΉ ΡΠ΅ΡΠ΅Π· ΡΠΎΡΠΊΠΈ, ΠΈΠΌΠ΅ΡΡΠΈΠ΅ Π½ΠΎΡΠΌΠ°Π»ΡΠ½ΠΎ ΡΠ°ΡΠΏΡΠ΅Π΄Π΅Π»ΡΠ½Π½ΠΎΠ΅ ΠΎΡΠΊΠ»ΠΎΠ½Π΅Π½ΠΈΠ΅ ΠΎΡ ΠΈΡΡΠΈΠ½Π½ΠΎΠ³ΠΎ Π·Π½Π°ΡΠ΅Π½ΠΈΡ.ΠΠ΅ΡΠΎΠ΄ Π½Π°ΠΈΠΌΠ΅Π½ΡΡΠΈΡ ΠΊΠ²Π°Π΄ΡΠ°ΡΠΎΠ² (ΠΠΠ)Β β ΠΌΠ°ΡΠ΅ΠΌΠ°ΡΠΈΡΠ΅ΡΠΊΠΈΠΉ ΠΌΠ΅ΡΠΎΠ΄, ΠΏΡΠΈΠΌΠ΅Π½ΡΠ΅ΠΌΡΠΉ Π΄Π»Ρ ΡΠ΅ΡΠ΅Π½ΠΈΡ ΡΠ°Π·Π»ΠΈΡΠ½ΡΡ Π·Π°Π΄Π°Ρ, ΠΎΡΠ½ΠΎΠ²Π°Π½Π½ΡΠΉ Π½Π° ΠΌΠΈΠ½ΠΈΠΌΠΈΠ·Π°ΡΠΈΠΈ ΡΡΠΌΠΌΡ ΠΊΠ²Π°Π΄ΡΠ°ΡΠΎΠ² ΠΎΡΠΊΠ»ΠΎΠ½Π΅Π½ΠΈΠΉ Π½Π΅ΠΊΠΎΡΠΎΡΡΡ ΡΡΠ½ΠΊΡΠΈΠΉ ΠΎΡ ΠΈΡΠΊΠΎΠΌΡΡ ΠΏΠ΅ΡΠ΅ΠΌΠ΅Π½Π½ΡΡ . ΠΠ½ ΠΌΠΎΠΆΠ΅Ρ ΠΈΡΠΏΠΎΠ»ΡΠ·ΠΎΠ²Π°ΡΡΡΡ Π΄Π»Ρ Β«ΡΠ΅ΡΠ΅Π½ΠΈΡΒ» ΠΏΠ΅ΡΠ΅ΠΎΠΏΡΠ΅Π΄Π΅Π»Π΅Π½Π½ΡΡ ΡΠΈΡΡΠ΅ΠΌ ΡΡΠ°Π²Π½Π΅Π½ΠΈΠΉ (ΠΊΠΎΠ³Π΄Π° ΠΊΠΎΠ»ΠΈΡΠ΅ΡΡΠ²ΠΎ ΡΡΠ°Π²Π½Π΅Π½ΠΈΠΉ ΠΏΡΠ΅Π²ΡΡΠ°Π΅Ρ ΠΊΠΎΠ»ΠΈΡΠ΅ΡΡΠ²ΠΎ Π½Π΅ΠΈΠ·Π²Π΅ΡΡΠ½ΡΡ ), Π΄Π»Ρ ΠΏΠΎΠΈΡΠΊΠ° ΡΠ΅ΡΠ΅Π½ΠΈΡ Π² ΡΠ»ΡΡΠ°Π΅ ΠΎΠ±ΡΡΠ½ΡΡ (Π½Π΅ ΠΏΠ΅ΡΠ΅ΠΎΠΏΡΠ΅Π΄Π΅Π»Π΅Π½Π½ΡΡ ) Π½Π΅Π»ΠΈΠ½Π΅ΠΉΠ½ΡΡ ΡΠΈΡΡΠ΅ΠΌ ΡΡΠ°Π²Π½Π΅Π½ΠΈΠΉ, Π΄Π»Ρ Π°ΠΏΠΏΡΠΎΠΊΡΠΈΠΌΠ°ΡΠΈΠΈ ΡΠΎΡΠ΅ΡΠ½ΡΡ Π·Π½Π°ΡΠ΅Π½ΠΈΠΉ Π½Π΅ΠΊΠΎΡΠΎΡΠΎΠΉ ΡΡΠ½ΠΊΡΠΈΠΈ. ΠΠΠ ΡΠ²Π»ΡΠ΅ΡΡΡ ΠΎΠ΄Π½ΠΈΠΌ ΠΈΠ· Π±Π°Π·ΠΎΠ²ΡΡ ΠΌΠ΅ΡΠΎΠ΄ΠΎΠ² ΡΠ΅Π³ΡΠ΅ΡΡΠΈΠΎΠ½Π½ΠΎΠ³ΠΎ Π°Π½Π°Π»ΠΈΠ·Π° Π΄Π»Ρ ΠΎΡΠ΅Π½ΠΊΠΈ Π½Π΅ΠΈΠ·Π²Π΅ΡΡΠ½ΡΡ ΠΏΠ°ΡΠ°ΠΌΠ΅ΡΡΠΎΠ² ΡΠ΅Π³ΡΠ΅ΡΡΠΈΠΎΠ½Π½ΡΡ ΠΌΠΎΠ΄Π΅Π»Π΅ΠΉ ΠΏΠΎ Π²ΡΠ±ΠΎΡΠΎΡΠ½ΡΠΌ Π΄Π°Π½Π½ΡΠΌ.
ΠΠΎ Π½Π°ΡΠ°Π»Π° XIXΒ Π². ΡΡΡΠ½ΡΠ΅ Π½Π΅ ΠΈΠΌΠ΅Π»ΠΈ ΠΎΠΏΡΠ΅Π΄Π΅Π»ΡΠ½Π½ΡΡ ΠΏΡΠ°Π²ΠΈΠ» Π΄Π»Ρ ΡΠ΅ΡΠ΅Π½ΠΈΡ ΡΠΈΡΡΠ΅ΠΌΡ ΡΡΠ°Π²Π½Π΅Π½ΠΈΠΉ, Π² ΠΊΠΎΡΠΎΡΠΎΠΉ ΡΠΈΡΠ»ΠΎ Π½Π΅ΠΈΠ·Π²Π΅ΡΡΠ½ΡΡ ΠΌΠ΅Π½ΡΡΠ΅, ΡΠ΅ΠΌ ΡΠΈΡΠ»ΠΎ ΡΡΠ°Π²Π½Π΅Π½ΠΈΠΉ; Π΄ΠΎ ΡΡΠΎΠ³ΠΎ Π²ΡΠ΅ΠΌΠ΅Π½ΠΈ ΡΠΏΠΎΡΡΠ΅Π±Π»ΡΠ»ΠΈΡΡ ΡΠ°ΡΡΠ½ΡΠ΅ ΠΏΡΠΈΡΠΌΡ, Π·Π°Π²ΠΈΡΠ΅Π²ΡΠΈΠ΅ ΠΎΡ Π²ΠΈΠ΄Π° ΡΡΠ°Π²Π½Π΅Π½ΠΈΠΉ ΠΈ ΠΎΡ ΠΎΡΡΡΠΎΡΠΌΠΈΡ Π²ΡΡΠΈΡΠ»ΠΈΡΠ΅Π»Π΅ΠΉ, ΠΈ ΠΏΠΎΡΠΎΠΌΡ ΡΠ°Π·Π½ΡΠ΅ Π²ΡΡΠΈΡΠ»ΠΈΡΠ΅Π»ΠΈ, ΠΈΡΡ ΠΎΠ΄Ρ ΠΈΠ· ΡΠ΅Ρ ΠΆΠ΅ Π΄Π°Π½Π½ΡΡ Π½Π°Π±Π»ΡΠ΄Π΅Π½ΠΈΠΉ, ΠΏΡΠΈΡ ΠΎΠ΄ΠΈΠ»ΠΈ ΠΊ ΡΠ°Π·Π»ΠΈΡΠ½ΡΠΌ Π²ΡΠ²ΠΎΠ΄Π°ΠΌ. ΠΠ°ΡΡΡΡ (1795) ΠΏΡΠΈΠ½Π°Π΄Π»Π΅ΠΆΠΈΡ ΠΏΠ΅ΡΠ²ΠΎΠ΅ ΠΏΡΠΈΠΌΠ΅Π½Π΅Π½ΠΈΠ΅ ΠΌΠ΅ΡΠΎΠ΄Π°, Π° ΠΠ΅ΠΆΠ°Π½Π΄Ρ (1805) Π½Π΅Π·Π°Π²ΠΈΡΠΈΠΌΠΎ ΠΎΡΠΊΡΡΠ» ΠΈ ΠΎΠΏΡΠ±Π»ΠΈΠΊΠΎΠ²Π°Π» Π΅Π³ΠΎ ΠΏΠΎΠ΄ ΡΠΎΠ²ΡΠ΅ΠΌΠ΅Π½Π½ΡΠΌ Π½Π°Π·Π²Π°Π½ΠΈΠ΅ΠΌ (ΡΡ.Β MΓ©thode des moindres quarrΓ©s)[1]. ΠΠ°ΠΏΠ»Π°Ρ ΡΠ²ΡΠ·Π°Π» ΠΌΠ΅ΡΠΎΠ΄ Ρ ΡΠ΅ΠΎΡΠΈΠ΅ΠΉ Π²Π΅ΡΠΎΡΡΠ½ΠΎΡΡΠ΅ΠΉ, Π° Π°ΠΌΠ΅ΡΠΈΠΊΠ°Π½ΡΠΊΠΈΠΉ ΠΌΠ°ΡΠ΅ΠΌΠ°ΡΠΈΠΊ ΠΠ΄ΡΠ΅ΠΉΠ½ (1808) ΡΠ°ΡΡΠΌΠΎΡΡΠ΅Π» Π΅Π³ΠΎ ΡΠ΅ΠΎΡΠ΅ΡΠΈΠΊΠΎ-Π²Π΅ΡΠΎΡΡΠ½ΠΎΡΡΠ½ΡΠ΅ ΠΏΡΠΈΠ»ΠΎΠΆΠ΅Π½ΠΈΡ[2]. ΠΠ΅ΡΠΎΠ΄ ΡΠ°ΡΠΏΡΠΎΡΡΡΠ°Π½ΡΠ½ ΠΈ ΡΡΠΎΠ²Π΅ΡΡΠ΅Π½ΡΡΠ²ΠΎΠ²Π°Π½ Π΄Π°Π»ΡΠ½Π΅ΠΉΡΠΈΠΌΠΈ ΠΈΠ·ΡΡΠΊΠ°Π½ΠΈΡΠΌΠΈ ΠΠ½ΠΊΠ΅, ΠΠ΅ΡΡΠ΅Π»Ρ, ΠΠ°Π½Π·Π΅Π½Π° ΠΈ Π΄ΡΡΠ³ΠΈΡ .
Π Π°Π±ΠΎΡΡ Π.Β Π.Β ΠΠ°ΡΠΊΠΎΠ²Π° Π² Π½Π°ΡΠ°Π»Π΅ XX Π²Π΅ΠΊΠ°
ru.wikipedia.org
|
ΠΠΊΡΡΡΠ°ΠΏΠΎΠ»ΡΡΠΈΡ — ΡΡΠΎ ΠΌΠ΅ΡΠΎΠ΄ Π½Π°ΡΡΠ½ΠΎΠ³ΠΎ ΠΈΡΡΠ»Π΅Π΄ΠΎΠ²Π°Π½ΠΈΡ, ΠΊΠΎΡΠΎΡΡΠΉ ΠΎΡΠ½ΠΎΠ²Π°Π½ Π½Π° ΡΠ°ΡΠΏΡΠΎΡΡΡΠ°Π½Π΅Π½ΠΈΠΈ ΠΏΡΠΎΡΠ»ΡΡ ΠΈ Π½Π°ΡΡΠΎΡΡΠΈΡ ΡΠ΅Π½Π΄Π΅Π½ΡΠΈΠΉ, Π·Π°ΠΊΠΎΠ½ΠΎΠΌΠ΅ΡΠ½ΠΎΡΡΠ΅ΠΉ, ΡΠ²ΡΠ·Π΅ΠΉ Π½Π° Π±ΡΠ΄ΡΡΠ΅Π΅ ΡΠ°Π·Π²ΠΈΡΠΈΠ΅ ΠΎΠ±ΡΠ΅ΠΊΡΠ° ΠΏΡΠΎΠ³Π½ΠΎΠ·ΠΈΡΠΎΠ²Π°Π½ΠΈΡ. Π ΠΌΠ΅ΡΠΎΠ΄Π°ΠΌ ΡΠΊΡΡΡΠ°ΠΏΠΎΠ»ΡΡΠΈΠΈ ΠΎΡΠ½ΠΎΡΡΡΡΡ ΠΌΠ΅ΡΠΎΠ΄ ΡΠΊΠΎΠ»ΡΠ·ΡΡΠ΅ΠΉ ΡΡΠ΅Π΄Π½Π΅ΠΉ, ΠΌΠ΅ΡΠΎΠ΄ ΡΠΊΡΠΏΠΎΠ½Π΅Π½ΡΠΈΠ°Π»ΡΠ½ΠΎΠ³ΠΎ ΡΠ³Π»Π°ΠΆΠΈΠ²Π°Π½ΠΈΡ, ΠΌΠ΅ΡΠΎΠ΄ Π½Π°ΠΈΠΌΠ΅Π½ΡΡΠΈΡ ΠΊΠ²Π°Π΄ΡΠ°ΡΠΎΠ². Π‘ΡΡΠ½ΠΎΡΡΡ ΠΌΠ΅ΡΠΎΠ΄Π° Π½Π°ΠΈΠΌΠ΅Π½ΡΡΠΈΡ ΠΊΠ²Π°Π΄ΡΠ°ΡΠΎΠ² ΡΠΎΡΡΠΎΠΈΡ Π² ΠΌΠΈΠ½ΠΈΠΌΠΈΠ·Π°ΡΠΈΠΈ ΡΡΠΌΠΌΡ ΠΊΠ²Π°Π΄ΡΠ°ΡΠΈΡΠ΅ΡΠΊΠΈΡ ΠΎΡΠΊΠ»ΠΎΠ½Π΅Π½ΠΈΠΉ ΠΌΠ΅ΠΆΠ΄Ρ Π½Π°Π±Π»ΡΠ΄Π°Π΅ΠΌΡΠΌΠΈ ΠΈ ΡΠ°ΡΡΠ΅ΡΠ½ΡΠΌΠΈ Π²Π΅Π»ΠΈΡΠΈΠ½Π°ΠΌΠΈ. Π Π°ΡΡΠ΅ΡΠ½ΡΠ΅ Π²Π΅Π»ΠΈΡΠΈΠ½Ρ Π½Π°Ρ ΠΎΠ΄ΡΡΡΡ ΠΏΠΎ ΠΏΠΎΠ΄ΠΎΠ±ΡΠ°Π½Π½ΠΎΠΌΡ ΡΡΠ°Π²Π½Π΅Π½ΠΈΡ β ΡΡΠ°Π²Π½Π΅Π½ΠΈΡ ΡΠ΅Π³ΡΠ΅ΡΡΠΈΠΈ. Π§Π΅ΠΌ ΠΌΠ΅Π½ΡΡΠ΅ ΡΠ°ΡΡΡΠΎΡΠ½ΠΈΠ΅ ΠΌΠ΅ΠΆΠ΄Ρ ΡΠ°ΠΊΡΠΈΡΠ΅ΡΠΊΠΈΠΌΠΈ Π·Π½Π°ΡΠ΅Π½ΠΈΡΠΌΠΈ ΠΈ ΡΠ°ΡΡΠ΅ΡΠ½ΡΠΌΠΈ, ΡΠ΅ΠΌ Π±ΠΎΠ»Π΅Π΅ ΡΠΎΡΠ΅Π½ ΠΏΡΠΎΠ³Π½ΠΎΠ·, ΠΏΠΎΡΡΡΠΎΠ΅Π½Π½ΡΠΉ Π½Π° ΠΎΡΠ½ΠΎΠ²Π΅ ΡΡΠ°Π²Π½Π΅Π½ΠΈΡ ΡΠ΅Π³ΡΠ΅ΡΡΠΈΠΈ. Π’Π΅ΠΎΡΠ΅ΡΠΈΡΠ΅ΡΠΊΠΈΠΉ Π°Π½Π°Π»ΠΈΠ· ΡΡΡΠ½ΠΎΡΡΠΈ ΠΈΠ·ΡΡΠ°Π΅ΠΌΠΎΠ³ΠΎ ΡΠ²Π»Π΅Π½ΠΈΡ, ΠΈΠ·ΠΌΠ΅Π½Π΅Π½ΠΈΠ΅ ΠΊΠΎΡΠΎΡΠΎΠ³ΠΎ ΠΎΡΠΎΠ±ΡΠ°ΠΆΠ°Π΅ΡΡΡ Π²ΡΠ΅ΠΌΠ΅Π½Π½ΡΠΌ ΡΡΠ΄ΠΎΠΌ, ΡΠ»ΡΠΆΠΈΡ ΠΎΡΠ½ΠΎΠ²ΠΎΠΉ Π΄Π»Ρ Π²ΡΠ±ΠΎΡΠ° ΠΊΡΠΈΠ²ΠΎΠΉ. ΠΠ½ΠΎΠ³Π΄Π° ΠΏΡΠΈΠ½ΠΈΠΌΠ°ΡΡΡΡ Π²ΠΎ Π²Π½ΠΈΠΌΠ°Π½ΠΈΠ΅ ΡΠΎΠΎΠ±ΡΠ°ΠΆΠ΅Π½ΠΈΡ ΠΎ Ρ Π°ΡΠ°ΠΊΡΠ΅ΡΠ΅ ΡΠΎΡΡΠ° ΡΡΠΎΠ²Π½Π΅ΠΉ ΡΡΠ΄Π°. Π’Π°ΠΊ, Π΅ΡΠ»ΠΈ ΡΠΎΡΡ Π²ΡΠΏΡΡΠΊΠ° ΠΏΡΠΎΠ΄ΡΠΊΡΠΈΠΈ ΠΎΠΆΠΈΠ΄Π°Π΅ΡΡΡ Π² Π°ΡΠΈΡΠΌΠ΅ΡΠΈΡΠ΅ΡΠΊΠΎΠΉ ΠΏΡΠΎΠ³ΡΠ΅ΡΡΠΈΠΈ, ΡΠΎ ΡΠ³Π»Π°ΠΆΠΈΠ²Π°Π½ΠΈΠ΅ ΠΏΡΠΎΠΈΠ·Π²ΠΎΠ΄ΠΈΡΡΡ ΠΏΠΎ ΠΏΡΡΠΌΠΎΠΉ. ΠΡΠ»ΠΈ ΠΆΠ΅ ΠΎΠΊΠ°Π·ΡΠ²Π°Π΅ΡΡΡ, ΡΡΠΎ ΡΠΎΡΡ ΠΈΠ΄Π΅Ρ Π² Π³Π΅ΠΎΠΌΠ΅ΡΡΠΈΡΠ΅ΡΠΊΠΎΠΉ ΠΏΡΠΎΠ³ΡΠ΅ΡΡΠΈΠΈ, ΡΠΎ ΡΠ³Π»Π°ΠΆΠΈΠ²Π°Π½ΠΈΠ΅ Π½Π°Π΄ΠΎ ΠΏΡΠΎΠΈΠ·Π²ΠΎΠ΄ΠΈΡΡ ΠΏΠΎ ΠΏΠΎΠΊΠ°Π·Π°ΡΠ΅Π»ΡΠ½ΠΎΠΉ ΡΡΠ½ΠΊΡΠΈΠΈ. Π Π°Π±ΠΎΡΠ°Ρ ΡΠΎΡΠΌΡΠ»Π° ΠΌΠ΅ΡΠΎΠ΄Π° Π½Π°ΠΈΠΌΠ΅Π½ΡΡΠΈΡ ΠΊΠ²Π°Π΄ΡΠ°ΡΠΎΠ²: Π£ t+1 = Π°*Π₯ + b, Π³Π΄Π΅ t + 1 β ΠΏΡΠΎΠ³Π½ΠΎΠ·Π½ΡΠΉ ΠΏΠ΅ΡΠΈΠΎΠ΄; Π£t+1 β ΠΏΡΠΎΠ³Π½ΠΎΠ·ΠΈΡΡΠ΅ΠΌΡΠΉ ΠΏΠΎΠΊΠ°Π·Π°ΡΠ΅Π»Ρ; a ΠΈ b — ΠΊΠΎΡΡΡΠΈΡΠΈΠ΅Π½ΡΡ; Π₯ — ΡΡΠ»ΠΎΠ²Π½ΠΎΠ΅ ΠΎΠ±ΠΎΠ·Π½Π°ΡΠ΅Π½ΠΈΠ΅ Π²ΡΠ΅ΠΌΠ΅Π½ΠΈ. Π Π°ΡΡΠ΅Ρ ΠΊΠΎΡΡΡΠΈΡΠΈΠ΅Π½ΡΠΎΠ² a ΠΈ b ΠΎΡΡΡΠ΅ΡΡΠ²Π»ΡΠ΅ΡΡΡ ΠΏΠΎ ΡΠ»Π΅Π΄ΡΡΡΠΈΠΌ ΡΠΎΡΠΌΡΠ»Π°ΠΌ: Π³Π΄Π΅, Π£Ρ β ΡΠ°ΠΊΡΠΈΡΠ΅ΡΠΊΠΈΠ΅ Π·Π½Π°ΡΠ΅Π½ΠΈΡ ΡΡΠ΄Π° Π΄ΠΈΠ½Π°ΠΌΠΈΠΊΠΈ; n β ΡΠΈΡΠ»ΠΎ ΡΡΠΎΠ²Π½Π΅ΠΉ Π²ΡΠ΅ΠΌΠ΅Π½Π½ΠΎΠ³ΠΎ ΡΡΠ΄Π°; Π‘Π³Π»Π°ΠΆΠΈΠ²Π°Π½ΠΈΠ΅ Π²ΡΠ΅ΠΌΠ΅Π½Π½ΡΡ ΡΡΠ΄ΠΎΠ² ΠΌΠ΅ΡΠΎΠ΄ΠΎΠΌ Π½Π°ΠΈΠΌΠ΅Π½ΡΡΠΈΡ ΠΊΠ²Π°Π΄ΡΠ°ΡΠΎΠ² ΡΠ»ΡΠΆΠΈΡ Π΄Π»Ρ ΠΎΡΡΠ°ΠΆΠ΅Π½ΠΈΡ Π·Π°ΠΊΠΎΠ½ΠΎΠΌΠ΅ΡΠ½ΠΎΡΡΠΈ ΡΠ°Π·Π²ΠΈΡΠΈΡ ΠΈΠ·ΡΡΠ°Π΅ΠΌΠΎΠ³ΠΎ ΡΠ²Π»Π΅Π½ΠΈΡ. Π Π°Π½Π°Π»ΠΈΡΠΈΡΠ΅ΡΠΊΠΎΠΌ Π²ΡΡΠ°ΠΆΠ΅Π½ΠΈΠΈ ΡΡΠ΅Π½Π΄Π° Π²ΡΠ΅ΠΌΡ ΡΠ°ΡΡΠΌΠ°ΡΡΠΈΠ²Π°Π΅ΡΡΡ ΠΊΠ°ΠΊ Π½Π΅Π·Π°Π²ΠΈΡΠΈΠΌΠ°Ρ ΠΏΠ΅ΡΠ΅ΠΌΠ΅Π½Π½Π°Ρ, Π° ΡΡΠΎΠ²Π½ΠΈ ΡΡΠ΄Π° Π²ΡΡΡΡΠΏΠ°ΡΡ ΠΊΠ°ΠΊ ΡΡΠ½ΠΊΡΠΈΡ ΡΡΠΎΠΉ Π½Π΅Π·Π°Π²ΠΈΡΠΈΠΌΠΎΠΉ ΠΏΠ΅ΡΠ΅ΠΌΠ΅Π½Π½ΠΎΠΉ. Π Π°Π·Π²ΠΈΡΠΈΠ΅ ΡΠ²Π»Π΅Π½ΠΈΡ Π·Π°Π²ΠΈΡΠΈΡ Π½Π΅ ΠΎΡ ΡΠΎΠ³ΠΎ, ΡΠΊΠΎΠ»ΡΠΊΠΎ Π»Π΅Ρ ΠΏΡΠΎΡΠ»ΠΎ Ρ ΠΎΡΠΏΡΠ°Π²Π½ΠΎΠ³ΠΎ ΠΌΠΎΠΌΠ΅Π½ΡΠ°, Π° ΠΎΡ ΡΠΎΠ³ΠΎ, ΠΊΠ°ΠΊΠΈΠ΅ ΡΠ°ΠΊΡΠΎΡΡ Π²Π»ΠΈΡΠ»ΠΈ Π½Π° Π΅Π³ΠΎ ΡΠ°Π·Π²ΠΈΡΠΈΠ΅, Π² ΠΊΠ°ΠΊΠΎΠΌ Π½Π°ΠΏΡΠ°Π²Π»Π΅Π½ΠΈΠΈ ΠΈ Ρ ΠΊΠ°ΠΊΠΎΠΉ ΠΈΠ½ΡΠ΅Π½ΡΠΈΠ²Π½ΠΎΡΡΡΡ. ΠΡΡΡΠ΄Π° ΡΡΠ½ΠΎ, ΡΡΠΎ ΡΠ°Π·Π²ΠΈΡΠΈΠ΅ ΡΠ²Π»Π΅Π½ΠΈΡ Π²ΠΎ Π²ΡΠ΅ΠΌΠ΅Π½ΠΈ Π²ΡΡΡΡΠΏΠ°Π΅Ρ ΠΊΠ°ΠΊ ΡΠ΅Π·ΡΠ»ΡΡΠ°Ρ Π΄Π΅ΠΉΡΡΠ²ΠΈΡ ΡΡΠΈΡ ΡΠ°ΠΊΡΠΎΡΠΎΠ². ΠΡΠ°Π²ΠΈΠ»ΡΠ½ΠΎ ΡΡΡΠ°Π½ΠΎΠ²ΠΈΡΡ ΡΠΈΠΏ ΠΊΡΠΈΠ²ΠΎΠΉ, ΡΠΈΠΏ Π°Π½Π°Π»ΠΈΡΠΈΡΠ΅ΡΠΊΠΎΠΉ Π·Π°Π²ΠΈΡΠΈΠΌΠΎΡΡΠΈ ΠΎΡ Π²ΡΠ΅ΠΌΠ΅Π½ΠΈ β ΠΎΠ΄Π½Π° ΠΈΠ· ΡΠ°ΠΌΡΡ ΡΠ»ΠΎΠΆΠ½ΡΡ Π·Π°Π΄Π°Ρ ΠΏΡΠ΅Π΄ΠΏΡΠΎΠ³Π½ΠΎΠ·Π½ΠΎΠ³ΠΎ Π°Π½Π°Π»ΠΈΠ·Π°. ΠΠΎΠ΄Π±ΠΎΡ Π²ΠΈΠ΄Π° ΡΡΠ½ΠΊΡΠΈΠΈ, ΠΎΠΏΠΈΡΡΠ²Π°ΡΡΠ΅ΠΉ ΡΡΠ΅Π½Π΄, ΠΏΠ°ΡΠ°ΠΌΠ΅ΡΡΡ ΠΊΠΎΡΠΎΡΠΎΠΉ ΠΎΠΏΡΠ΅Π΄Π΅Π»ΡΡΡΡΡ ΠΌΠ΅ΡΠΎΠ΄ΠΎΠΌ Π½Π°ΠΈΠΌΠ΅Π½ΡΡΠΈΡ ΠΊΠ²Π°Π΄ΡΠ°ΡΠΎΠ², ΠΏΡΠΎΠΈΠ·Π²ΠΎΠ΄ΠΈΡΡΡ Π² Π±ΠΎΠ»ΡΡΠΈΠ½ΡΡΠ²Π΅ ΡΠ»ΡΡΠ°Π΅Π² ΡΠΌΠΏΠΈΡΠΈΡΠ΅ΡΠΊΠΈ, ΠΏΡΡΠ΅ΠΌ ΠΏΠΎΡΡΡΠΎΠ΅Π½ΠΈΡ ΡΡΠ΄Π° ΡΡΠ½ΠΊΡΠΈΠΉ ΠΈ ΡΡΠ°Π²Π½Π΅Π½ΠΈΡ ΠΈΡ ΠΌΠ΅ΠΆΠ΄Ρ ΡΠΎΠ±ΠΎΠΉ ΠΏΠΎ Π²Π΅Π»ΠΈΡΠΈΠ½Π΅ ΡΡΠ΅Π΄Π½Π΅ΠΊΠ²Π°Π΄ΡΠ°ΡΠΈΡΠ΅ΡΠΊΠΎΠΉ ΠΎΡΠΈΠ±ΠΊΠΈ, Π²ΡΡΠΈΡΠ»ΡΠ΅ΠΌΠΎΠΉ ΠΏΠΎ ΡΠΎΡΠΌΡΠ»Π΅: Π³Π΄Π΅ Π£Ρ β ΡΠ°ΠΊΡΠΈΡΠ΅ΡΠΊΠΈΠ΅ Π·Π½Π°ΡΠ΅Π½ΠΈΡ ΡΡΠ΄Π° Π΄ΠΈΠ½Π°ΠΌΠΈΠΊΠΈ; Π£Ρ β ΡΠ°ΡΡΠ΅ΡΠ½ΡΠ΅ (ΡΠ³Π»Π°ΠΆΠ΅Π½Π½ΡΠ΅) Π·Π½Π°ΡΠ΅Π½ΠΈΡ ΡΡΠ΄Π° Π΄ΠΈΠ½Π°ΠΌΠΈΠΊΠΈ; n β ΡΠΈΡΠ»ΠΎ ΡΡΠΎΠ²Π½Π΅ΠΉ Π²ΡΠ΅ΠΌΠ΅Π½Π½ΠΎΠ³ΠΎ ΡΡΠ΄Π°; Ρ β ΡΠΈΡΠ»ΠΎ ΠΏΠ°ΡΠ°ΠΌΠ΅ΡΡΠΎΠ², ΠΎΠΏΡΠ΅Π΄Π΅Π»ΡΠ΅ΠΌΡΡ Π² ΡΠΎΡΠΌΡΠ»Π°Ρ , ΠΎΠΏΠΈΡΡΠ²Π°ΡΡΠΈΡ ΡΡΠ΅Π½Π΄ (ΡΠ΅Π½Π΄Π΅Π½ΡΠΈΡ ΡΠ°Π·Π²ΠΈΡΠΈΡ). ΠΠ΅Π΄ΠΎΡΡΠ°ΡΠΊΠΈ ΠΌΠ΅ΡΠΎΠ΄Π° Π½Π°ΠΈΠΌΠ΅Π½ΡΡΠΈΡ ΠΊΠ²Π°Π΄ΡΠ°ΡΠΎΠ²:
ΠΡΠΈΠΌΠ΅Ρ ΠΏΡΠΈΠΌΠ΅Π½Π΅Π½ΠΈΡ ΠΌΠ΅ΡΠΎΠ΄Π° Π½Π°ΠΈΠΌΠ΅Π½ΡΡΠΈΡ ΠΊΠ²Π°Π΄ΡΠ°ΡΠΎΠ² Π΄Π»Ρ ΡΠ°Π·ΡΠ°Π±ΠΎΡΠΊΠΈ ΠΏΡΠΎΠ³Π½ΠΎΠ·Π°ΠΠ°Π΄Π°ΡΠ°. ΠΠΌΠ΅ΡΡΡΡ Π΄Π°Π½Π½ΡΠ΅, Ρ Π°ΡΠ°ΠΊΡΠ΅ΡΠΈΠ·ΡΡΡΠΈΠ΅ ΡΡΠΎΠ²Π΅Π½Ρ Π±Π΅Π·ΡΠ°Π±ΠΎΡΠΈΡΡ Π² ΡΠ΅Π³ΠΈΠΎΠ½Π΅, %
Π Π΅ΡΠ΅Π½ΠΈΠ΅ ΠΌΠ΅ΡΠΎΠ΄ΠΎΠΌ Π½Π°ΠΈΠΌΠ΅Π½ΡΡΠΈΡ ΠΊΠ²Π°Π΄ΡΠ°ΡΠΎΠ² ΠΠ»Ρ ΡΠ΅ΡΠ΅Π½ΠΈΡ ΡΠΎΡΡΠ°Π²ΠΈΠΌ ΡΠ°Π±Π»ΠΈΡΡ, Π² ΠΊΠΎΡΠΎΡΠΎΠΉ Π±ΡΠ΄Π΅ΠΌ ΠΏΡΠΎΠΈΠ·Π²ΠΎΠ΄ΠΈΡΡ Π½Π΅ΠΎΠ±Ρ ΠΎΠ΄ΠΈΠΌΡΠ΅ ΡΠ°ΡΡΠ΅ΡΡ: ΠΠΏΡΠ΅Π΄Π΅Π»ΠΈΠΌ ΡΡΠ»ΠΎΠ²Π½ΠΎΠ΅ ΠΎΠ±ΠΎΠ·Π½Π°ΡΠ΅Π½ΠΈΠ΅ Π²ΡΠ΅ΠΌΠ΅Π½ΠΈ ΠΊΠ°ΠΊ ΠΏΠΎΡΠ»Π΅Π΄ΠΎΠ²Π°ΡΠ΅Π»ΡΠ½ΡΡ Π½ΡΠΌΠ΅ΡΠ°ΡΠΈΡ ΠΏΠ΅ΡΠΈΠΎΠ΄ΠΎΠ² Π±Π°Π·Ρ ΠΏΡΠΎΠ³Π½ΠΎΠ·Π° (Π³ΡΠ°ΡΠ° 3). Π Π°ΡΡΡΠΈΡΠ°Π΅ΠΌ Π³ΡΠ°ΡΡ 4 ΠΈ 5. Π Π°ΡΡΠ΅ΡΠ½ΡΠ΅ Π·Π½Π°ΡΠ΅Π½ΠΈΡ ΡΡΠ΄Π° Π£Ρ ΠΎΠΏΡΠ΅Π΄Π΅Π»ΠΈΠΌ ΠΏΠΎ ΡΠΎΡΠΌΡΠ»Π΅ Π£ t+1 = Π°*Π₯ + b, Π³Π΄Π΅ t + 1 β ΠΏΡΠΎΠ³Π½ΠΎΠ·Π½ΡΠΉ ΠΏΠ΅ΡΠΈΠΎΠ΄; Π£t+1 β ΠΏΡΠΎΠ³Π½ΠΎΠ·ΠΈΡΡΠ΅ΠΌΡΠΉ ΠΏΠΎΠΊΠ°Π·Π°ΡΠ΅Π»Ρ; a ΠΈ b — ΠΊΠΎΡΡΡΠΈΡΠΈΠ΅Π½ΡΡ; Π₯ — ΡΡΠ»ΠΎΠ²Π½ΠΎΠ΅ ΠΎΠ±ΠΎΠ·Π½Π°ΡΠ΅Π½ΠΈΠ΅ Π²ΡΠ΅ΠΌΠ΅Π½ΠΈ. ΠΠΎΡΡΡΠΈΡΠΈΠ΅Π½ΡΡ a ΠΈ b ΠΎΠΏΡΠ΅Π΄Π΅Π»ΠΈΠΌ ΠΏΠΎ ΡΠ»Π΅Π΄ΡΡΡΠΈΠΌ ΡΠΎΡΠΌΡΠ»Π°ΠΌ: Π³Π΄Π΅, Π£Ρ β ΡΠ°ΠΊΡΠΈΡΠ΅ΡΠΊΠΈΠ΅ Π·Π½Π°ΡΠ΅Π½ΠΈΡ ΡΡΠ΄Π° Π΄ΠΈΠ½Π°ΠΌΠΈΠΊΠΈ; n β ΡΠΈΡΠ»ΠΎ ΡΡΠΎΠ²Π½Π΅ΠΉ Π²ΡΠ΅ΠΌΠ΅Π½Π½ΠΎΠ³ΠΎ ΡΡΠ΄Π°. ΠΠ°Π»Π΅Π΅ ΠΎΠΏΡΠ΅Π΄Π΅Π»ΡΠ΅ΠΌ ΠΏΡΠΎΠ³Π½ΠΎΠ·Π½ΠΎΠ΅ Π·Π½Π°ΡΠ΅Π½ΠΈΠ΅: Π Π°ΡΡΡΠΈΡΡΠ²Π°Π΅ΠΌ ΡΡΠ΅Π΄Π½ΡΡ ΠΎΡΠ½ΠΎΡΠΈΡΠ΅Π»ΡΠ½ΡΡ ΠΎΡΠΈΠ±ΠΊΡ ΠΏΠΎ ΡΠΎΡΠΌΡΠ»Π΅: Ξ΅ = 28,63/10 = 2,86% ΡΠΎΡΠ½ΠΎΡΡΡ ΠΏΡΠΎΠ³Π½ΠΎΠ·Π° Π²ΡΡΠΎΠΊΠ°Ρ. ΠΡΠ²ΠΎΠ΄: Π‘ΡΠ°Π²Π½ΠΈΠ²Π°Ρ ΡΠ΅Π·ΡΠ»ΡΡΠ°ΡΡ, ΠΏΠΎΠ»ΡΡΠ΅Π½Π½ΡΠ΅ ΠΏΡΠΈ ΡΠ°ΡΡΠ΅ΡΠ°Ρ ΠΌΠ΅ΡΠΎΠ΄ΠΎΠΌ ΡΠΊΠΎΠ»ΡΠ·ΡΡΠ΅ΠΉ ΡΡΠ΅Π΄Π½Π΅ΠΉ, ΠΌΠ΅ΡΠΎΠ΄ΠΎΠΌ ΡΠΊΡΠΏΠΎΠ½Π΅Π½ΡΠΈΠ°Π»ΡΠ½ΠΎΠ³ΠΎ ΡΠ³Π»Π°ΠΆΠΈΠ²Π°Π½ΠΈΡ ΠΈ ΠΌΠ΅ΡΠΎΠ΄ΠΎΠΌ Π½Π°ΠΈΠΌΠ΅Π½ΡΡΠΈΡ ΠΊΠ²Π°Π΄ΡΠ°ΡΠΎΠ², ΠΌΠΎΠΆΠ½ΠΎ ΡΠΊΠ°Π·Π°ΡΡ, ΡΡΠΎ ΡΡΠ΅Π΄Π½ΡΡ ΠΎΡΠ½ΠΎΡΠΈΡΠ΅Π»ΡΠ½Π°Ρ ΠΎΡΠΈΠ±ΠΊΠ° ΠΏΡΠΈ ΡΠ°ΡΡΠ΅ΡΠ°Ρ ΠΌΠ΅ΡΠΎΠ΄ΠΎΠΌ ΡΠΊΡΠΏΠΎΠ½Π΅Π½ΡΠΈΠ°Π»ΡΠ½ΠΎΠ³ΠΎ ΡΠ³Π»Π°ΠΆΠΈΠ²Π°Π½ΠΈΡ ΠΏΠΎΠΏΠ°Π΄Π°Π΅Ρ Π² ΠΏΡΠ΅Π΄Π΅Π»Ρ 20-50%. ΠΡΠΎ Π·Π½Π°ΡΠΈΡ, ΡΡΠΎ ΡΠΎΡΠ½ΠΎΡΡΡ ΠΏΡΠΎΠ³Π½ΠΎΠ·Π° Π² Π΄Π°Π½Π½ΠΎΠΌ ΡΠ»ΡΡΠ°Π΅ ΡΠ²Π»ΡΠ΅ΡΡΡ Π»ΠΈΡΡ ΡΠ΄ΠΎΠ²Π»Π΅ΡΠ²ΠΎΡΠΈΡΠ΅Π»ΡΠ½ΠΎΠΉ. Π ΠΏΠ΅ΡΠ²ΠΎΠΌ ΠΈ ΡΡΠ΅ΡΡΠ΅ΠΌ ΡΠ»ΡΡΠ°Π΅ ΡΠΎΡΠ½ΠΎΡΡΡ ΠΏΡΠΎΠ³Π½ΠΎΠ·Π° ΡΠ²Π»ΡΠ΅ΡΡΡ Π²ΡΡΠΎΠΊΠΎΠΉ, ΠΏΠΎΡΠΊΠΎΠ»ΡΠΊΡ ΡΡΠ΅Π΄Π½ΡΡ ΠΎΡΠ½ΠΎΡΠΈΡΠ΅Π»ΡΠ½Π°Ρ ΠΎΡΠΈΠ±ΠΊΠ° ΠΌΠ΅Π½Π΅Π΅ 10%. ΠΠΎ ΠΌΠ΅ΡΠΎΠ΄ ΡΠΊΠΎΠ»ΡΠ·ΡΡΠΈΡ ΡΡΠ΅Π΄Π½ΠΈΡ ΠΏΠΎΠ·Π²ΠΎΠ»ΠΈΠ» ΠΏΠΎΠ»ΡΡΠΈΡΡ Π±ΠΎΠ»Π΅Π΅ Π΄ΠΎΡΡΠΎΠ²Π΅ΡΠ½ΡΠ΅ ΡΠ΅Π·ΡΠ»ΡΡΠ°ΡΡ (ΠΏΡΠΎΠ³Π½ΠΎΠ· Π½Π° Π½ΠΎΡΠ±ΡΡ β 1,52%, ΠΏΡΠΎΠ³Π½ΠΎΠ· Π½Π° Π΄Π΅ΠΊΠ°Π±ΡΡ β 1,53%, ΠΏΡΠΎΠ³Π½ΠΎΠ· Π½Π° ΡΠ½Π²Π°ΡΡ β 1,49%), ΡΠ°ΠΊ ΠΊΠ°ΠΊ ΡΡΠ΅Π΄Π½ΡΡ ΠΎΡΠ½ΠΎΡΠΈΡΠ΅Π»ΡΠ½Π°Ρ ΠΎΡΠΈΠ±ΠΊΠ° ΠΏΡΠΈ ΠΈΡΠΏΠΎΠ»ΡΠ·ΠΎΠ²Π°Π½ΠΈΠΈ ΡΡΠΎΠ³ΠΎ ΠΌΠ΅ΡΠΎΠ΄Π° Π½Π°ΠΈΠΌΠ΅Π½ΡΡΠ°Ρ β 1,13%. ΠΡΡΠ³ΠΈΠ΅ ΡΡΠ°ΡΡΠΈ ΠΏΠΎ Π΄Π°Π½Π½ΠΎΠΉ ΡΠ΅ΠΌΠ΅:Π‘ΠΏΠΈΡΠΎΠΊ ΠΈΡΠΏΠΎΠ»ΡΠ·ΠΎΠ²Π°Π½Π½ΡΡ ΠΈΡΡΠΎΡΠ½ΠΈΠΊΠΎΠ²
|
www.ekonomika-st.ru
